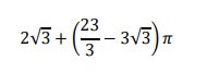
10. 如示意圖,圓心在 A,半徑為 1 的圓和圓心在 B,半徑為 3 的圓相外切。 第三個圓與前兩個圓都相外切,且與此二圓的一條外公切線也外切。 試求出三塊斜線部分的周長總和? (請將答案寫成含 π 與不含 π 之兩部分的和或差)
詳解 (共 1 筆)
詳解

10. 如示意圖,圓心在 A,半徑為 1 的圓和圓心在 B,半徑為 3 的圓相外切。 第三個圓與前兩個圓都相外切,且與此二圓的一條外公切線也外切。 試求出三塊斜線部分的周長總和? (請將答案寫成含 π 與不含 π 之兩部分的和或差)
