阿摩線上測驗
登入
首頁
>
通信系統
> 104年 - 104年升官等、104年關務人員升官等、104年交通事業公路人員升資、104年交通事業港務人員升資考公務薦任_電信工程#32774
104年 - 104年升官等、104年關務人員升官等、104年交通事業公路人員升資、104年交通事業港務人員升資考公務薦任_電信工程#32774
科目:
通信系統 |
年份:
104年 |
選擇題數:
0 |
申論題數:
13
試卷資訊
所屬科目:
通信系統
選擇題 (0)
申論題 (13)
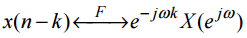
⑴推導該離散時間系統之轉換函數(頻率響應) ( ) jω H e 。(10 分)
【已刪除】⑵繪製該離散時間系統之方塊圖(設N = M )。(10 分) 提示:
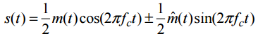
【已刪除】⑴利用希伯爾特轉換之定義證明信號 m(t) 與載波 cos(2 πf
c
t 之單邊帶調變信號 (single-sideband modulated signal)為:
其中正號對應下邊帶調變,負號對應上邊帶調變。(15 分)
⑵據上式繪製單邊帶調變器之方塊圖。(5 分)
⑴繪製相對於該信號之匹配濾波器(matched filter)之脈衝響應(impulse response)。 (4 分)
⑵繪製該匹配濾波器之輸出波形。(3 分)
⑶上述輸出之最大值為何?(3 分)
⑴此信號空間(signal space)之維度(dimensionality)為何?(3 分)
⑵求此信號空間之一組基底(basis)。(3 分)
⑶繪製此信號空間之信號星位圖(signal constellation),並標示最佳決策區域(optimal decision regions)R
1
、R
2
及R
3
。(4 分)
【已刪除】五、下圖所示為一線性回饋平移暫存器(linear feedback shift-register),試列表求該電路 產出之虛擬雜訊序列(pseudo-noise sequence)。(20 分)
【已刪除】⑴下圖為碼率r =1/ 2、強制長度(constraint length)K = 4之迴旋編碼器(convolution coder)。當輸入為 10111……時,求編碼器之輸出。(10 分)
⑵建立上述編碼器之編碼樹(code tree),當輸入為 10111……時,描繪其編碼之路徑。 (10 分)
相關試卷
114年 - 114 地方政府公務特種考試_四等_電信工程:通信系統概要#134755
114年 · #134755
114年 - 114 地方政府公務特種考試_三等_電信工程:通信與系統#134723
114年 · #134723
114年 - 114 公務升官等考試_薦任_電信工程:通信與系統#133270
114年 · #133270
114年 - 114 調查特種考試_三等_電子科學組:通信與系統#129592
114年 · #129592
114年 - 114 高等考試_三級_電信工程:通信與系統#128757
114年 · #128757
114年 - 114 普通考試_電信工程:通信系統概要#128733
114年 · #128733
113年 - 113 地方政府公務特種考試_四等_電信工程:通信系統概要#124540
113年 · #124540
113年 - 113 調查特種考試_三等_電子科學組:通信與系統#122111
113年 · #122111
113年 - 113 普通考試_電信工程:通信系統概要#121514
113年 · #121514
113年 - 113 高等考試_三級_電信工程:通信與系統#121501
113年 · #121501