題組內容
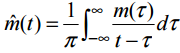
二、一具傅立葉轉換(Fourier transform)之函數m(t),其希伯爾特轉換(Hilbert transform)
定義如下:


其頻域表示式為:
其中
,sgn(f )為正負號函數(signum function)。
,sgn(f )為正負號函數(signum function)。
,sgn(f )為正負號函數(signum function)。