阿摩線上測驗
登入
首頁
>
技師◆結構設計
> 104年 - 104年第二次結構設計(包括鋼筋混凝土設計與鋼結構設計)#41125
104年 - 104年第二次結構設計(包括鋼筋混凝土設計與鋼結構設計)#41125
科目:
技師◆結構設計 |
年份:
104年 |
選擇題數:
0 |
申論題數:
9
試卷資訊
所屬科目:
技師◆結構設計
選擇題 (0)
申論題 (9)
⑴試計算此一斷面於無軸力作用下之計算彎矩 M
no
。(5 分)
⑵試計算此一斷面於平衡應變狀態下之計算彎矩 M
nb
與計算軸力 P
nb
。(10 分)
⑶若此一方柱於外力作用下之軸力 P
u
為 63 tf,試求其斷面計算彎矩 M
n
(可採用第 ⑴小題與第⑵小題之結果進行線性內插即可)。(10 分)
⑴斷面開裂彎矩 M
cr
為何?(5 分)
⑵靜載重作用下之最大位移為何?(5 分)
⑶靜載重與活載重作用下之最大位移為何?(5 分)
⑷若欲使活載重作用下之瞬間最大位移不大於 0.5 cm,其拉力筋量至少須增加多 少 cm
2
?(10 分)
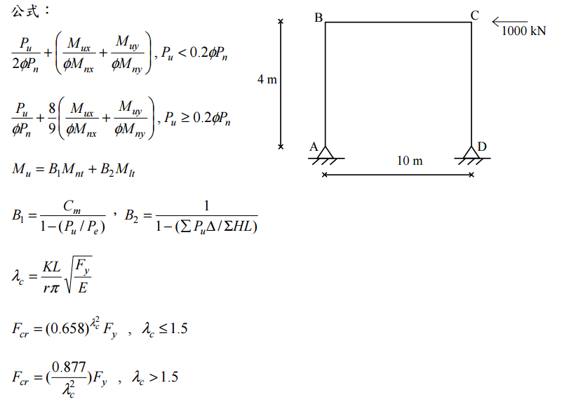
【已刪除】三、門型構架由柱 AB(W40×331 型鋼)、梁 BC(W36×160 型鋼)及柱 CD(W40×331 型鋼)所組成(如下圖所示),其中 A 及 D 節點在受側力方向均為鉸接端 (Pin),B 及 C 節點均為抗彎矩梁柱接頭,構架在受側力 1000 kN 作用下(已含載 重係數),檢核 W36×160(滿足結實斷面,鋼材 ASTM A572 Grade 50)之鋼梁 BC 是否可滿足 AISC‐LRFD 設計要求。假設此鋼梁側向無支撐長度< L
p
,且鋼梁 K
x
L = K
y
L = 6 m,鋼梁只承擔強軸載重及彎矩,忽略梁自重;2 支柱上端及下端均 有側向支撐且承擔相同剪力。(25 分) 梁 W36×160 型鋼性質如下:
F
y
= 350 MPa,E = 200 GPa,Z
x
= 10225528 mm
3
,A = 30323 mm
2
r
x
= 366 mm,r
y
= 63.5 mm,I
x
= 4058256400 mm
4
,I
y
= 122788270 mm
4
四、依據鋼結構極限設計法規範,請將 SN490B 鋼材與 SM570 鋼材之拉應力與拉應變關 係依比例畫於同一張圖中,並說明此兩種材料在強度、伸長率及韌性上的差異性, 及對全滲透銲組合受壓箱形柱的塑性設計斷面λ
pd
有何影響。(25 分)
相關試卷
114年 - 114 專技高考_土木工程技師:結構設計(包括鋼筋混凝土設計與鋼結構設計)#133709
114年 · #133709
114年 - 114 司法特種考試_三等_檢察事務官營繕工程組:結構設計(包括鋼筋混凝土設計與鋼結構設計)#129579
114年 · #129579
113年 - 113 專技高考_土木工程技師:結構設計(包括鋼筋混凝土設計與鋼結構設計)#123949
113年 · #123949
113年 - 113 司法特種考試_三等_檢察事務官營繕工程組:結構設計(包括鋼筋混凝土設計與鋼結構設計)#122119
113年 · #122119
112年 - 112 專技高考_土木工程技師:結構設計(包括鋼筋混凝土設計與鋼結構設計)#117675
112年 · #117675
112年 - 112 司法特種考試_三等_檢察事務官營繕工程組:結構設計(包括鋼筋混凝土設計與鋼結構設計)#116212
112年 · #116212
111年 - 111 專技高考_土木工程技師:結構設計(包括鋼筋混凝土設計與鋼結構設計)#111976
111年 · #111976
111年 - 111 司法特種考試_三等_檢察事務官營繕工程組:結構設計(包括鋼筋混凝土設計與鋼結構設計)#110324
111年 · #110324
110年 - 110 專技高考_土木工程技師:結構設計(包括鋼筋混凝土設計與鋼結構設計)#104169
110年 · #104169
110年 - 110 司法特種考試_三等_檢察事務官營繕工程組:結構設計(包括鋼筋混凝土設計與鋼結構設計)#103219
110年 · #103219