所屬科目:技師◆結構設計
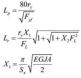
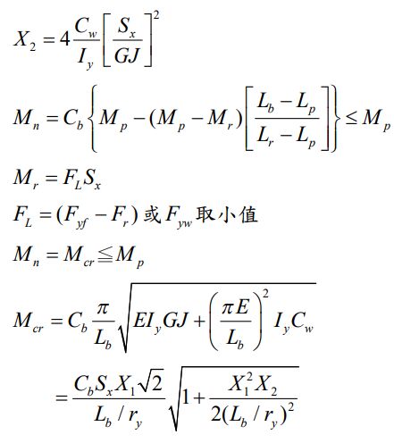
一、有一簡支 H 型鋼梁,跨距為 8.8 m,全跨承受因數化載重 wu = 8 tf/m,型 鋼斷面強軸承受彎矩。鋼梁為熱軋 H 型鋼 H600 ✖ 200 ✖ 11 ✖ 17,為塑性 設計斷面,鋼材降伏應力 Fy = 3.5 tf/cm2。簡支梁兩端支承點皆有側向支 撐。鋼梁為了承載此因數化載重,需於兩端支承點間增加側向支撐。假 設增加的側向支撐為等間距,且其數量最少;並且 cb 值保守的取 1.0。 請依據極限設計法,計算需於兩端支承點間增加多少數量的側向支撐? 側向支撐間距為何?(25 分) 參考資料:參考公式:請自行選擇適合的公式,並檢查其正確性,若有問題應自行 修正。
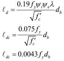
二、有一鋼筋混凝土柱,縱向受壓鋼筋的配置有一處為 D29 與 D25 的搭接。 D25 鋼筋直徑 db = 2.54 cm,D29 鋼筋直徑 db = 2.87 cm,鋼筋降伏強度 fy = 4200 kgf/cm2。混凝土抗壓強度 f 'c = 280 kgf/cm2。不考慮修正因數,請 計算該搭接處搭接長度為何?(25 分) 參考公式:請自行選擇適合的公式,並檢查其正確性,若有問題應自行修正。鋼筋 f y ≤ 4200 kgf/cm2 者:受壓搭接長度為 0.0071db f y,且不得小於 30 cm
四、圖示為鋼筋混凝土 T 型梁的斷面,有效版寬 75 cm。梁承受正彎矩,配 置雙層排列的拉力鋼筋,有效深度 d = 50.2 cm,最外層受拉鋼筋位置 dt = 53.1 cm 。 混 凝 土 抗 壓 強 度 f'c = 280 kgf/cm2 , 拉 力 鋼 筋 降 伏 強 度 fy = 4200 kgf/cm2。試計算此 T 型梁規範容許的最大量拉力鋼筋截面積 As,並以拉力鋼筋截面積 As 計算設計彎矩強度ΦMn。(25 分)