所屬科目:高中指考◆物理
1.某生以直立、盛水的共鳴管進行空氣中聲波速率測量之實驗。當共鳴管中水面接 近管口時,在管口外敲擊音叉,並逐漸降低水面。當水面降至與管口距離為H1、 H2、H3的時候,分別聽到第一、第二、第三次的共鳴聲響,則下列何者最接近 當時聲波的波長? (A)H1(B)2H1 (C)H2– H1 (D)H3– H1 (E)
2.在測量物質比熱的實驗中,使甲、乙、丙、丁、戊五個不同的材料分別吸收相同 的熱量,已知所有材料均未出現相變,且它們的質量和溫度上升值如表一,則這五個材料中,何者的比熱最大? (A)甲 (B)乙 (C)丙 (D)丁 (E)戊
3.如圖1所示,一個水平放置的絕熱容器,以一片可自由移動的絕熱隔板分隔為兩 室,兩室中裝有同一種的單原子理想氣體。當隔板達靜力平衡時,右室之絕對溫度為T,且左室與右室氣體之原子個數比為3:1,體積比為2:1。若在不對氣體作功的情況下,將隔板打開使兩室相通,則容器中的氣體最後達到熱平衡時之絕對溫度為何? (A)T(B)3T/4 (C)2/3T (D)T/2(E)T/ 3
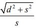
4.有一束單色光由空氣以45°入射一個上下兩面均為水平、厚度為d的透明長方磚, 其折射部分之光徑如圖2所示,入射區的入射點與出射區的出射點之水平距離為s。 假設所有的光線只在兩水平界面發生折射與反射,則下列有關此長方磚的折射率及其與空氣界面的敘述,何者正確? (A)長方磚的折射率為 (B)長方磚的折射率為 (C)經兩界面反射而回原空氣入射區的光線會相互平行 (D)若增大入射角時,則會在入射區的界面發生全反射 (E)若同材質長方磚的厚度d增大時,則其折射率亦將增大
5.某生在空氣中進行雙狹縫干涉實驗,測得中央亮紋寬度為△Y1,若將完全相同的 整套裝置移至水中進行實驗,測得中央亮紋寬度為△Y2,則下列敘述或關係式, 何者正確? (A)水中光波頻率增大(B)水中光波波長增長(C)水中光速增大 (D)△Y2 < △Y1(E)△Y2 > △Y1
7.某生打籃球時在罰球線上立定向斜上方拋投,投入一個空心球。球從離手到進入籃框為止的過程中,其動能K隨距地面之高度h的變化圖,最接近下列何者?圖中虛線的箭頭方向表示過程的先後順序。 (A)(B)(C) (D)(E)
9.一質量為m的人造衛星,在距離地心為R的高度,沿圓形軌道繞行地球,週期為180分鐘。設地球質量為M,重力常數為G,若欲將此衛星移至同步衛星的圓形 軌道上繞行地球,則所需之最小能量為下列何者? (A)(B)(C) (D)(E)
11.在光滑水平面上,有甲、乙、丙三個金屬塊,質量分別為m、2m及2m,其質心 成一直線,其中丙連接一理想彈簧,如圖4所示。初始時,乙、丙為靜止,而甲以速度v向右與乙進行正面彈性碰撞,若所有金屬塊間的碰撞可視為質量集中於質心的質點間彈性碰撞,且彈簧質量可以忽略,則碰撞後,丙的最大速率為何?(A)(B)(C)(D)(E)v
13.如圖5所示,在重力可忽略的環境中,某一粒子水平射向一條通有穩定電流的鉛垂長直導線,該粒子會因導線電流所產生的磁場而偏折,其路徑如虛線箭頭所示。 下列推論何者正確? (A) 若該粒子為 α 粒子,則導線中的電流方向為由上往下 (B) 若該粒子為 β 粒子,則導線中的電流方向為由上往下 (C) 若該粒子為 γ 粒子,則導線中的電流方向為由上往下 (D) 若該粒子為電子,則導線中的電流方向為由下往上 (E) 若該粒子為光子,則導線中的電流方向為由下往上
14.有兩片大小皆為0.50m✖0.50m的帶電平行金屬薄板,其間距固定為1.0mm,電 位差為100V。若將一電量為1.6✖10-19C的電子置於兩平行板的正中央,則此電子 約受到多少牛頓的靜電力作用? (A)0(B)1.6✖10-17(C)4.0✖10-16(D)3.2✖10-15(E)1.6✖10-14
16.圖6為某一類型質譜儀的結構示意圖,在兩平行電極板間有一均勻電場E,在電極板的右端有一阻隔板,板上有一小孔只能讓沒 有偏向的粒子穿過,板後面有可偵測粒子的裝置, 整個儀器置於一射出紙面的均勻磁場B內。帶電 量q的粒子由電極板的左端,對準小孔、平行於電極板射入,但粒子的初速未知,若重力可忽略 , 且在離小孔 d 的位置測得粒子,則此粒子的質量 m為下列何者? (A) (B) (C) (D) (E)
17.一列週期性繩波以5.0m/s之速度,沿-x方向傳播 時,以致質輕細繩沿著y方向振動。若以y代表細繩 偏離平衡位置的位移,則在t=0.20s時,繩上各點的 位移,如圖7所示,則在x=2.0m處之P點的位移y 隨時間t的變化關係,以下列何圖所示較為正確? (A)(B)(C) (D)(E)
18.假設波耳的氫原子模型中電子角動量量子化的描述,也適用於自由電子以不同速 率在一個半徑固定之微小圓形金屬線圈中的運動。若自由電子沿此圓形金屬線圈運動的最低動能為 ε,則自由電子在第一受激態時所具有的動能為下列何者? (A) 2ε (B) 4ε (C) 6ε (D) 9ε (E) 12ε
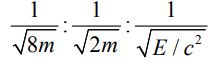
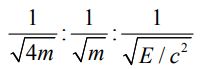
19.若有一個α粒子與某一個中子的動能均為E,此動能也與某一個光子的能量相等。 考慮此α粒子與此中子的物質波及此光子的光波,設α粒子與中子的質量分別為4m與m,c為光速,則此三者的波長之比λα粒子:λ中子:λ光子為下列何者? (A) (B) (C) (D) (E)
20.已知某些遮蔽物對一般放射源所射出的粒子會造成如下的效果: (1)若僅射出α粒子,則不能穿過一張紙 (2)若僅射出β粒子,則需用5mm厚的鋁板才能完全擋住 (3)若僅射出γ射線(可視為粒子),則即使擋以25mm厚的鉛板,也只能將粒 子數約減少一半 今將一個待測放射源放在一個偵測器的感應口前,此偵測器可量測α、β及γ的 總粒子數,然後分別用一張紙、5mm厚的鋁板及25mm厚的鉛板,擋在放射源 和感應口的中間,各次測得的總粒子數如表二。則下 列何者最有可能為此放射源所放出的粒子? (A) α 粒 子 (B) β 粒 子 (C) α 及 β 粒 子 (D) β 及 γ 粒 子 (E) α 及 γ 粒 子
22.當聲速為340m/s時,對一長度固定之空氣柱發出的聲音,進行頻率對強度的量測實驗,其結果如圖8所示,則下列敘述哪些正確? (A)此空氣柱所發聲音的音色,完全由頻率1kHz的聲音決定 (B)此空氣柱發出基頻聲音的波長為34cm (C)此空氣柱為一端開口一端閉口 (D)此空氣柱的長度為17cm (E)若空氣溫度降低,則空氣柱發聲的 頻率亦會降低
23.如圖9所示,有一主線圈與副線圈匝數比為2:1的理想變壓器,主線圈外接一組電阻為零的軌道,而金屬棒PQ可在軌道上滑行形成迴路,迴路所在區域有0.50T垂直進入紙面之均勻磁場, 金屬棒PQ的長度為20cm、電阻為0.40Ω,副線圈外接10Ω的電阻,其餘的電阻均可忽略。若金屬棒因受外力而在軌道上以速率v=2.0m/s等速度滑行時,則下列敘述哪些正確? (A)主線圈迴路的應電流方向為逆時鐘 (B)主線圈中的應電流I = 0.50 A (C) 副線圈中的應電動勢為 1.0 V (D) 副線圈中的應電流 I = 0.10 A (E) 副線圈消耗的電功率 P=0
3.若器材連結後如圖11所示,兩電極分別為一正一負,請在答案卷作圖區先複製出正、負電極與甲、乙、丙、丁四點的位置,然後分別畫出通過甲、 乙、丙、丁四點的等電位線(一小段即可)及電力線(須標示方向)。