所屬科目:高中指考◆物理
3. 一部汽車以等速度 10.0 m/s 沿水平車道前行,駕駛發現前方 24.5 m 處的單車沿同一直 線與方向前進,於是立刻煞車而以等加速度 - a 繼續前行。若單車一直以等速度 3.00 m/s 前進,而兩車不會相撞,則 a 至少約需大於下列何者?注:在等速度運動的坐標系中, 牛頓運動定律都能成立。 (A) (B) (C) (D) (E)
4. 進行焦耳實驗時,使兩個質量各為 0.42 kg 的重錘落下 1.0 m,以帶動葉片旋轉,攪動 容器內 2.0 L 的水。已知水的比熱為 4.2 kJ / (kg ● K) ,水所散失的熱量可忽略,重力加速 度 g = 10 m / s 2 ,則攪動後水溫上升約為何?(A) 0.0010 K (B) 0.010 K (C) 0.10 K (D) 1.0 K (E) 10 K
7. 一容器內的理想氣體,莫耳數為 n ,內能為 U ,密度為 ρ,壓力為 P ,絕對溫度為 T , 氣體分子的方均根速率為 v ,理想氣體常數為 R 。依據氣體動力論,在熱平衡狀態下, 下列關係何者正確? (A) U = nRT (B) U = 3Pv / 2 (C) P = ρ v 2 / 3 (D) P =ρ v 2 / 2 (E) Pv = nRT
8. 有一項理論認為所有比鐵重的元素都是超新星爆炸時形成的。已知 的半衰期 分別為 ,若地球上的鈾來自 年前的恆星爆炸,且爆炸 時產生相同數量的 ,則目前地球上兩者的數量比 約為下列何者? (A) (B) (C) (D) (E)
10. 如圖 3a 所示,在失重的太空站上,水滴(折射率 n' = 4 / 3 )與空氣泡(折射率 n = 1 )可 形成同心的圓球透鏡。當平行於光軸 OA 的近軸光線,由空氣入射通過半徑為 R 的實心 水球後,會通過焦點 F, = 2 R ,如圖 3b 所示;反之,平行的近軸光線由水中入射通 過半徑為 R 的空氣泡後,會發散而使光線在向後延伸後通過 F' , = 3R / 2 ,如圖 3c。 因此有空氣泡的水球,就類似於豎立於 O,外圈為會聚、內圈為發散的薄透鏡。若如圖 3a,一物體在有氣泡的水球左側遠處,發出近軸的光,則人眼在圖 3a 右側遠處沿著光 軸望向此有氣泡的水球時,所看到該物體的像為下列何者?注意:即使氣泡球換為不透 明的圓球,外圈的水球還是能夠完整成像的。 (A) 只有正立虛像 (B) 只有倒立虛像 (C) 只有正立實像 (D) 只有倒立實像 (E) 既有正立虛像,也有倒立實像
11. 在研究浮體時,同學推測圓柱浮體能否穩定維持直立,與密度有關。故決定先測量圓柱 體的體積,而以同一根米尺對圓柱體的直徑與高度各測量 4 次,結果記錄於下表,最右 3 欄為計算機運算程式所給 4 次測量值的平均值、標準差平方與 1/12。 若以下各測量值括弧內±號後的數字代表組合不確定度,則下列敘述何者正確? (A) 直徑的測量值為(121.4 ± 0.2)mm (B) 直徑的測量值為(121.4 ± 0.5)mm (C) 高度的測量值為(100.60 ± 0.39)mm (D) 高度的測量值為(100.60 ± 0.26)mm (E) 圓柱體體積的組合不確定度等於高度與直徑兩者之組合不確定度的和
12. 在水平地面上,以不可伸長的細繩繞過定滑輪,將質量分別為 m1 、 m2 的上、下兩個均質箱子連接如圖 4。已知重力加速度為 g,細繩與滑輪之間無摩擦力,且其質量均可忽略,下箱之上、下表面的動摩擦係數皆為 μ , 若下箱受到水平拉力 F 時,兩箱不轉動,均以等速度水平移動,則下列敘述哪些正確? (A) 地面施於下箱的正向力為 (m1+ m2 ) g (B) 施於下箱的水平拉力 F = μ (3m1 + m2 ) g(C) 所有作用於上箱的水平力所產生的力矩為零 (D) 所有作用於上箱的垂直力所產生的力矩為零 (E) 右邊支架施予滑輪的水平力量值 F' ,一定小於 F
13. 如圖 5 所示,兩片完全相同、可視為無限大的平行金屬薄板 U 與 D,間距固定為 5d , 以銅線連接到電位恆為 0 的接地體 G,最初 U 與 D 均不帶電。今將與 U、D 完全相同、 帶電量 +Q 且不接地的金屬薄板 T 平行移入,並固定於上板下方 2d 處。已知連接兩板的 電力線數目,既與兩板間的電場成正比,也與起點或終點處的電量成正比,且 D、T 間 的電位差與 U、T 間的電位差相等,則在靜電平衡時, 下列敘述哪些正確? (A) D、T間的電場量值為U、T間電場量值的1.5倍 (B) 以U板與D板為終點的電力線數目相等(C) T板受到向上的靜電力 (D) T板受到的靜電力為零 (E) U板上的電量為D板上電量的1.5倍
14. 如 圖 6 所 示 , 磁 場 垂 直 指 入 紙 面 , 使 通 過 正 方 形 迴 路 ABCD 的 磁 通 量 , 穩 定 地 以 1.0 T m 2 / s 的時間變化率增加,AB 段與 CD 段的電阻分別為 0.6kΩ 與 0.4kΩ。將伏特 計 V1 與 V2 的正極(+)分別接到 A、D 點,負極(-)分別接到 B、C 點,測得的電壓 值分別為 V1 與 V2 。假設迴路上應電流 I 產生的磁場與通過伏特計的電流均可忽略,則下列選項中哪些關係式可能是正確的? (A) I = 1 mA + + V2 0.4kΩ 0.6kΩ V1 (B) I = 1 μA - - (C) V1 = V2 = 0.6 V (D) V1 = - 0.6 V , V2 = 0.4 V C I B (E) V1 = 0.6 V , V2 = 0.4 V 圖6
15. 中空圓筒形導體 中的電 流所產生的磁場 ,會對其載 流粒子施加 磁力 , 故被用於設 計能 提供安全核能且燃料不虞匱乏的核熔合反應器。圖 7 所示為筒壁很薄、半徑為 R 的鋁 製長直圓筒,電流 I 平行於筒軸穩定流動,均勻通 過筒壁各截面,而可當作為 n 條完全相同且平行的長直載流導線,每條導線的電流都為 i = I / n 。 若 n 比 1 大得多,並以 代表每單位面積垂直作 圖7 用於筒壁的磁力,則下列敘述哪些正確? (A) 沿半徑向筒外 (B) 沿半徑向筒內 (C)與 R2 成正比 2 (D) 與 I 成正比 (E) 與 I 2成正比
16. 因 為 新 冠 肺 炎 的 流 行 , 餐 廳 經 常 在 桌 面 上 豎 立 壓 克 力 板 , 以 防 止 用 餐 時 飛 沫 的 傳 播 。 若將 厚 度 h 的透明 平 板豎 立於 有 方格 紙圖 案 的餐 桌上,使板 面平 行 於水 平格 線,如 圖 8 示意圖。當垂直於板面正視時,發現板後水平格線的位置都往平板移動。若空氣折射 率 為 1,平 板的 折 射率 為 n ,則 下列 敘述 哪 些正 確? 注 意:圖 8 為 手機 拍攝 到 的畫 面, 其格 線 距離 與真 實 距離 不同 。 (A) 板後水平格線的位移量值,隨其距離板面的遠近而有不同 (B) 板後水平格線的位移量值,不隨平板厚度而變 (C) 板後各水平格線的位移量值都為 h / n (D) 板後各水平格線的位移量值都為 h(1 - 1 / n) (E) 測得水平格線位移量值與平板厚度的比值,即可決定折射率 n 圖8
17. 依據波耳的氫原子模型,若兩個處於量子數 n = 1 的基態氫原子,在發生正向碰撞後停止 不動,接著都只發出同一種單頻光,其光子的能量均為 10.204 eV ,則下列敘述哪些正 確 ? ( 氫 原 子 的 質 量 為 kg , 氫 原 子 的 能 量 為 ,) (A) 碰撞後兩個氫原子都被激發到 n = 2 的能階 (B) 在碰撞前每個氫原子的動能都為 3.4 eV (C) 在碰撞前兩個氫原子的總動量大於零 (D) 在碰撞前每個氫原子的速率大於30 km/s (E) 兩個氫原子發出的都是可見光
18. 圖 9a 與 9b 所示的兩個圓筒 A 與 B 完全相同,A 筒左端封閉,並配置無摩擦的活塞 C; B 筒兩端封閉,以裝有活門 D 的固定隔板分成兩室,兩筒與氣體接觸的各部分均為絕 熱體。最初時,A 筒內部與 B 筒左室都裝有壓力 P0 、溫度 T0 、體積 V0 的相同理想氣體, 活塞 C 在向左外力 F 作用下保持靜止,而 B 筒的活門 D 為關閉,右室為真空。當減小 外力 F 使活塞 C 緩慢移動到 A 筒右端後停下時,A 筒內的氣體因膨脹作功溫度變為 TA; 而打開活門 D 後,氣體在不作功下自由膨脹至充滿 B 筒,溫度變為 TB 。若打開活門 D 的功可忽略,則下列關係哪些正確? (A) T0 > TB (B) T0 = TB (C) T0 > TA (D) TA >TB (E) TA= TB
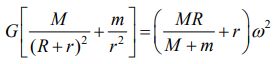
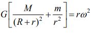
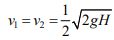
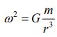
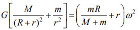
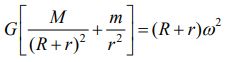
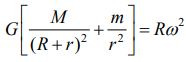
19. 已知地心到 C 的距離為 MR/ ( M + m) ,則角速率的平方ω 2 為下列何者?(單選) (A) (B) (C) (D) (E)
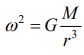
20. 承第 19 題,地心到 L 2 的距離 r 滿足下列何者?(A) (B) (C) (D) (E)
23. (1) 於作答區將下表的元件圖例,繪製於如圖 11 所示的虛線方格中,並加以正確連 接(注意接點的極性),使其成為光電效應實驗的電路圖。(2 分) (2) 承(1),若對同一金屬,選擇多種波長不同、但都能產生光電效應的入射光進 行測量,則對於其中每種波長的入射光,必須改變何種物理量,使電路的電流發 生何種情況,並取得哪個物理量的實驗數據,才能估測普朗克常數對基本電荷的 比值 h / e ?(2 分)
24. 圖 12 為密立根測得的光電效應數據。他使用光槓桿裝置來記錄光電流的大小,即是以 光點偏移量(mm)代表光電流值。
(1) 依據瑞立矩形開口擴音器的目的與聲波傳播的特性,建構一個關於瑞立矩形開口 擴音器如何工作的理論模型,亦即說明該擴音器的寬度 w 與高度 h ,各與聲波波 長 λ 具有什麼關係(需列出關係式),並預測要使聲波在水平方向的分散角度大 於垂直方向的分散角度, w 與 h 的大小關係應為何。(3 分)