所屬科目:高中指考◆物理
1. 原子核 由質子與中子組成,試問原子核的 直 徑 大小最可能落在下列尺標圖的哪 個區間?(A) (B)(C)(D)(E)
4. 在 圖 1 所 示 的「 水 波 槽 實 驗 」裝 置 中,下列關於 其 分 項裝置的敘述,何者正確? (A) 長方形木條起波器的目的 是 要 產生圓形波 (B) 可變電阻 是用來 改變電流,以調整光照的 強 度 (C) 白紙上顯示的相鄰兩 亮紋間距恰等於水波的 波長 (D) 水波槽的四周需用海綿條圍住,以避免水 波 頻率改變 (E) 水波的波谷 在 強 光 通 過 時,會 有 類似凹透鏡 的效果,在白紙上顯現出暗紋
6. 一細繩上出現沿水平方向行進的週期性橫波,以致繩上各點均作簡諧振動,在 某時刻其中一段的波形如圖 2 所示, x與 y 分別代表繩上各點(簡稱質點)的水平位置 坐標與垂直位置坐標,已知此時質點 P 的 速 度方向 為 垂直向下,高度低於其平衡位置。 當波繼續行進,質點 P 位於最低點 時,下列 敘述何者正確? (A) 質 點 a 的 y < 0 (B) 質 點 a 的 y = 0 (C) 質 點 b 的 y < 0 (D) 質 點 b 的 y = 0 (E) 質 點 a 到達最高點
8. 甲、乙、丙三條導線的長度、截面積及在相同外加電壓下的電流如表 1 所示。 假設各導線的溫度相同,且都遵守歐姆定律,則依表 1 判斷,在該溫度下,此 三條導線材料的電阻率大小順序為何? (A) 甲 >乙 >丙 (B) 乙 >甲 >丙 (C) 丙 >乙 >甲 (D) 甲 >丙 >乙 (E) 丙 >甲 >乙
9. 如 圖 3 所示,在 yz 平面的環形金屬線圈以坐標系原點 O 為中心, xy 平面為水 平面,地球磁場指向 + y 方向。位於原點 O 處的小磁針,可 繞 z 軸 在 xy 平面自由轉動,當環形線圈中的電流為 2.0 安 培時,磁針與 +x 軸的夾角為 37°。若要使磁針與 +x 軸的夾 角變為 45°,則環形線圈中的電流應調整為多少安培? (A) 1.0 (B) 1.5 (C) 2.0 (D) 2.7 (E) 3.5
12.手 機 的 無 線 充 電 是 近 年 來 發 展 出 來 的 新 科 技,它 使 用 到 的 物 理 原 理 是 電 磁 感 應。 假設一手機內有邊長為 0.050 m、匝 數 為 1000 匝的正方形線圈, 今將此 正 方 形線圈置於 垂直於線圈面且 隨時間變動的均勻磁 場 B 中 , 如 圖 4 所示。 當 磁 場 B 的時變 率 時 , 則 正 方 形線圈兩端 間 的 應 電動勢為下列何者? (A) 25 mV (B) 250mV (C) 2.5 V (D) 25 V (E) 250 V
14. 假設一太空船連同太陽帆的總質量為 1.0× 103 kg ,其太陽帆面積為 1.0× 106m2 ,帆上單位面積接受太陽來的光子功率為 1.5 ×103 W/m 2。若太陽帆 能夠將光子完全反射,則此太空船因為光子照射造成的最大加速度量 值最接近下列何者 ? 取真空中光速 c = 3.0× 108 m/s 。 (A) (B) (C) (D) (E)
17. 如 圖 5 所示, 一個被固定在 鉛直面上 , 半徑為 r 的 圓形光滑軌道 玩 具 , 將 質 量 分別為 m 與 2m 的甲與乙 兩 質 點,靜 置 於 光 滑 圓 形軌道內緣,甲離水平地面的高度為 r,而乙位 於軌道最低點。當甲自靜止開始沿著軌道下滑 後,與乙發生 正 面 彈性碰撞。碰撞後乙 沿軌道 可爬升的最大鉛直高度為 下 列 何 者 ? (A) r (B) 2/3r (C) 1/2r(D) 4/9r (E) 1/3r
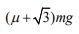
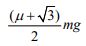
18. 如 圖 6 所示, 一質量為 m 的小物體靜止在傾角為 60 度、長度為 L且固定不動 之斜面的最低點 P。現 對 此 物體施加 量 值 不變、方向始終沿斜面方向向上的力 F ,使物體沿斜面運動到達斜面長度 L / 2的 Q 點,在 Q 點時立即撤去外力 F 。若要使物體能夠到達斜面最高 點 R,則 外 力 F 的 量 值 至 少 需為多少 ? 設 物體與斜面之 動 摩擦係數為 µ 、重力加速度為 g 。 (A) (B) (C) (D) (E)
23. 甲生在整理實驗器材時,發現有雙狹縫片與單狹縫片共 5 片,其規格標籤都脫落了, 導致無法從外觀分辨規格。於是他將這 5 片狹縫片編號為 S1~S5,接著利用同一單 色雷射光源做干涉與繞射實驗來比較狹縫片之間的關係。實驗時光屏與狹縫間的距 離保持固定,並僅依序更換 5 片狹縫片,觀看光屏上的干涉或繞射圖像,其示意如 圖 8 所示,並在光屏上定出 Pi、 Qi 兩點( i =1~5),且數出 Pi、 Qi 之間的暗紋數目 n(包含 Pi、 Qi 兩處之暗紋),量測結果如表 2 所示。下列關於甲生實驗的敘述, 哪些正確?(A) S1 為雙狹縫片; S2 為單狹縫片 (B) S3 的相鄰縫距是 S1 相鄰縫距的 2 倍 (C) S5 的縫寬是 S4 縫寬的 4 倍 (D) 如 果 僅 將光屏和狹縫片的距離變成原來的兩倍,則 S3 的 n會變成 28 (E) 如 果 僅 將 光 屏 和 狹 縫 片 的 距 離 變 成 原 來 的 兩 倍,則 S5 的 P Q5 5 會變成 24 mm
1. 傳統鑷子 : 用兩邊長各為 L、末端重合成 V字形的鑷子,去夾半 徑 為 R、質量 為 m 的玻璃小球。夾小球時,鑷子在鉛垂面 上,若 每邊對小球 施力量值為 F ,恰 可將小球夾起,鑷子 與小球的接觸點,如圖 10所 示。試畫出 小 球 所受各外力的 力 圖( 需標示各外力的名稱 ),並計算 出鑷子與小球之間 的靜摩擦係數 µ 至少為若干 ? 設重力加速度為 g。
2. 光學鑷子 : ( 應用高度聚焦的雷射光束來控制微小 物 體 ) 當雷射 光 穿透折射率比周圍介質還大的球 形 微 粒( 以 下簡稱為微粒)時,雷射光束會折 射偏向, 代 表 光 束 中 光子的動量 發生了 變化, 由牛頓第三運動定律 可知, 光子可施力於微粒 上 。 當微粒 的大小遠大於雷射 光 的波長 時,可用幾何光學來解釋光學鑷子 的原理。如圖 11所示, 若 僅 考慮通過 會 聚透鏡後 的 雷射光束 中,行進 方 向 交 會 於微粒 球 心 O下 方 的 B點 之 編 號 1、2兩 條 光 線,它們射入微粒後會發生 偏折,再由 微 粒 的上方射出 時,則 因光線被折射, 光 子 會施於微粒 一個作 用 方 向 向 下 的 合 力 , 而 將微粒 向下推移。編號 1、 2兩條光線 射入微粒前 後 , 光子的動量 分別為 與 ,與。 如 圖 12所示,若改變兩條光線的入射方向使 行 進 方向交會點在 微 粒 球 心 O上 方 的 C點,試 參考圖 11的動量表示方式,僅需考慮光的折射,畫出雷 射 光 的光子路徑、雷射光 的光子在射入微粒前後的動量 與、 與並標示出動量變化 、 、 以 及 微 粒 受光子合力 作 用 的方向。