阿摩線上測驗
登入
首頁
>
教甄◆數學
> 104年 - 104 高雄市市立國民小學教師聯合甄選_一般類─「普通科目」:數學#23184
104年 - 104 高雄市市立國民小學教師聯合甄選_一般類─「普通科目」:數學#23184
科目:
教甄◆數學 |
年份:
104年 |
選擇題數:
20 |
申論題數:
0
試卷資訊
所屬科目:
教甄◆數學
選擇題 (20)
41. 考慮兩個數字,下列何者正確? (A)兩無理數之積必為無理數 (B)兩無理數之和必為無理數 (C)一有理數與一無理數之積必為無理數 (D)一有理數與一無理數之和必為無理數
42. 七巧板之組成不包括下列何種圖形? (A)三角形 (B)平行四邊形 (C)梯形 (D)正方形 第 6 頁,共 12 頁
43. 「正三角形是等腰三角形的一種」之概念是 Van Hiele 幾何思考發展 階段中之 (A)視覺辨識階段 (B)演繹推理時期 (C)非形式演繹時期 (D)分析期
44. 下面直線 4 條(如圖),試問哪一條的斜率最小?
(A) OD 直線 (B) DC 直線 (C) CB 直線 (D) BA 直線
45. 今有梨子 320 個、蘋果 240 個、橘子 200 個,想將這些水果分裝成相 同的禮盒,且盒數要最多,則每個禮盒裡共有幾個水果? (A)19 (B)20 (C)21 (D)22
46. 1~100 的整數中,與 2 或 3 互質的整數共有多少個? (A)33 (B)34 (C)66 (D)67
47. 某漱口水瓶上標示正確使用方式:一次使用量為瓶蓋容量的 1/ 3 。小瑜 買了一瓶,誤將 1/ 3 看成 1/ 2 ,在使用 10 次後才發現錯誤,此時漱口水 已剩原來的 3 /4 ,若往後小瑜依正確方式使用完畢,則還可以用多少次? (A)30 (B)45 (C)60 (D)75
48. 若在附圖的方格中,填入適當的數字,使得每行、每列以及對角線上 的數字和是相同的,則下列敘述何者錯誤?
(A)□=7 (B)△=9 (C)○=11 (D)☆=13
49. 觀察右圖中尺規作圖的痕跡,第一次作 BD ,第二次作 DE ,若∠EDB =22°,∠C=77°,則∠A=?
(A)59° (B)66° (C)69° (D)77°
50. 下列關於內心的敘述,何者錯誤? (A)內心是三內角平分線的交點 (B)內心到三邊的距離相等 (C)內心到三邊的距離為其內切圓的半徑 (D)內心有可能落在三角形的外部
51. 如右圖,平行四邊形 ABCD 與 CDEF 中,P、Q 分別為其對角線交點,已 知 CD=10,且△PAB 與△QEF 的周長分別為 27 和 23, 則四邊形 CPDQ 的周長為何?
(A)30 (B)25 (C)20 (D)15
52. △ABC 中,∠B=90°。將 A 點沿 AB 邊對折到 B 點,C 點沿 CB 邊對折到 B 點後,形成一個四邊形。則關於此四邊形,下列何者敘述正確? (A)此四邊形為正方形 (B)此四邊形對角線互相垂直 (C)此四邊形面積為△ABC 面積之一半 (D)此四邊形周長為△ABC 周長之一半
53. 甲、乙、丙三人結伴旅遊,夜晚投宿於民宿時,發現正好剩下雙人床 及單人床各一張,於是三人以抽籤決定床位,則甲、丙二人合睡雙人 床的機率是多少? (A) 1 / 2 (B) 1 / 3 (C) 1 / 6 (D) 1 / 9
54. 設兩直線 L : 2x + y-3 =0 、M :x-y+2=0 之交角為 Θ ,求 sin Θ 之值?
55. 已知 47
100
為 168 位數,則
在小數點以下第幾位開始出現不為 0 的 數字? (A)29 (B)30 (C)31 (D)32
56. 如右圖,以四個相同的長方形拼成一個大正方形 ABCD,則此圖形內之 小正方形之面積為何?
(A)4[a
2
+(2b)
2
] (B)(a+2b)
2
(C)(2b-a)
2
(D)4(a×2b)
57. 甲、乙兩人分別從 A、B 兩地同時出發相向而行,兩人相遇在離 A 地 10 公里處;相遇後,兩人速度不變,繼續前進,分別到達 B、A 之後,立 即返回,又相遇在離 B 地 3 公里處。試求:A、B 兩地的距離? (A)24 公里 (B)27 公里 (C)30 公里 (D)33 公里
58. 將九年戊班、己班和庚班各 60 位學生的英文段考成績作成累積相對次 數分配折線圖,如右圖所示,則由此圖可知哪一班的中位數成績最高?
(A)戊班 (B)己班 (C)庚班 (D)無法判斷
59. 若方程式
的圖形為一線段, 則 k 為多少? (A)2 (B)3 (C)4 (D)5
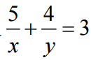
60. 若 x, y
N ,且滿足
,則 x + y 的最大值是? (A)9 (B)10 (C)11 (D)12
申論題 (0)
相關試卷
115年 - 115 桃園市立陽明高中_教師甄選試題:數學科#139018
115年 · #139018
115年 - 115 國立高科實驗高級中等學校_專任教師甄選_國小部:普通科(數學)#138942
115年 · #138942
115年 - 115-1 國立彰化女子高級中學_教師甄選試題:數學科#138761
115年 · #138761
115年 - 115-1 臺中市立文華高級中等學校_教師甄選專業知能試題:數學科#138727
115年 · #138727
115年 - 115-2 台北市立建國高級中學_正式教師甄選試題:數學科#138704
115年 · #138704
115年 - 115-1 國立嘉科實驗高級中學_教師甄選試題_國中部:數學科#138695
115年 · #138695
115年 - 115-1 臺北市立中正高級中學_專任教師甄選初試試題:數學科#138690
115年 · #138690
115年 - 115-1 國立羅東高中_教師甄選初試︰數學科#138675
115年 · #138675
115年 - 115-1 臺南市立沙崙國際高級中學高中部_教師甄選試題:數學科#138673
115年 · #138673
115年 - 115-1 國立蘭陽女子高級中學_教師甄選試題︰數學科#138666
115年 · #138666