阿摩線上測驗
登入
首頁
>
教甄◆數學
> 105年 - 國立科學工業園區實驗高級中學國小部教師甄選#51886
105年 - 國立科學工業園區實驗高級中學國小部教師甄選#51886
科目:
教甄◆數學 |
年份:
105年 |
選擇題數:
40 |
申論題數:
0
試卷資訊
所屬科目:
教甄◆數學
選擇題 (40)
1. 【除法的類型】進行除法教學時,通常會先引入的語意情境為何者? (A)連續量包含除 (B)連續量等分除 (C)離散量包含除 (D)離散量等分除
2. 【分數的意義】老師上課出了一個數學題目:「哥哥吃了
個披薩,妹妹也 吃了
個披薩,兩人一共吃了多少個披薩?」 千千畫出右邊的圖,記成
。 老師發現千千的答案錯誤,請他解釋理由,千千說:「哥哥吃了
個披薩就 是把一個披薩平分成 4 塊中的 1 塊,妹妹又吃了
個披薩,也把一個披薩平 分成 4 塊中的 2 塊,所以現在全部有 8 塊披薩,哥哥和妹妹一共吃了 3 塊, 所以他們吃了 8 塊中的 3 塊,所以是
個。」請問千千的迷思概念是什麼? (A)千千畫出兩個披薩,所以全部變成八塊,只要畫出一個披薩就好。 (B)千千不清楚同分母加減的規則,變成分母加分母,分子加分子。 (C)千千不清楚單位量是「一個披薩」或是「一塊披薩」。 (D)以上皆是。
3. 【分數離散量的布題】哪一個是單位內容物為「單一個物」的情境問題? (A)一包水餃有 50 顆,把 1.2 包水餃平分給 20 人,1 人分到多少包水餃? (B)一盒糖果有 20 顆,請畫出 5.1 盒糖果。 (C)1 盒有 12 枝鉛筆,
盒有幾枝鉛筆? (D)一盒雞蛋有 10 個,媽媽炒飯用掉了
盒,煮玉米濃湯用掉了
盒, 請問媽媽一共用掉了多少盒雞蛋?
4. 【異分母比大小】下列有幾個分數大小比較的問題,「還未學過通分」的學 生能解決哪些問題?
(A)甲乙丁(B)乙丁戊(C)乙丙丁(D)乙丙丁戊
5. 【對稱圖形的迷思】學生最常「誤以為」哪個圖形也是線對稱圖形? (A)平行四邊形(B)直角三角形(C)長方形(D)箏形。
6. 【正比的意義】下面哪一個問題「不能」畫成正比關係圖? (A)雜貨店裡,1 公斤的綠豆賣 30 元,請將綠豆的重量和價錢畫成關係圖。 (B)爸爸今年 38 歲,媽媽今年 35 歲,請將爸爸的年齡和媽媽的年齡畫成 關係圖。 (C)教室前的水龍頭漏水,每 10 分鐘漏出 200 毫升的水量,把水龍頭漏水 的水量和時間的關係畫成關係圖。 (D)音樂老師彈鋼琴時將節拍器調整成一分鐘擺動 60 下,請將時間和節拍 器擺動的次數畫成關係圖。
7. 【面積與周長的關係】老師正在跟學生討論長方形面積和周長的關係:「把 一個長方形的面積變小時,周長有什麼變化?」請問下列哪一個小朋友的想 法,能找到反例推翻? (A)小佳說:「長方形的面積變小,周長一定會變短。」 (B)小成說:「長方形的面積變小,周長可能會變長呢!」 (C)小佩說:「長方形的面積變小,周長有很多種變化。」 (D)小偉說:「長方形的面積變小,周長可能不變。」
8. 【三角形性質】學生正在討論三角形的邊長關係,四位學生提出他們的想法: 甲:任意三條線段中,較短的兩條線段和如果比最長的線段還長,就可以組 成一個三角形。 乙:三條線段中,任意兩條線段和如果比第三條的線段還長,就可以組成一 個三角形。 丙:在三角形中,任意兩條邊長的和一定比第三條邊還長。 丁:在三角形中,較短的兩條邊長的和一定比最長邊還長。 請問:哪些學生的想法是正確的? (A)甲乙丁 (B)甲丙丁 (C)乙丙丁 (D)甲乙丙丁 3
9. 【雞兔同籠】老師正在進行「院子裡的雞和羊一共有 10 隻,牠們一共有 32 隻腳。算算看,雞和羊各有幾隻呢?」活動,請問下列哪位學生的作法「不 合理」? (A)小佳:32÷2=16 16-10=6(隻羊) 10-6=4(隻雞) (B)小成:2×10=20 32-20=12 12÷(4-2)=6(隻羊) 10-6=4(隻雞) (C)小佩:4×10=40 40-32=8 8÷(4-2)=4(隻雞) 10-4=6(隻羊) (D)小偉:2×5+4×5=30 2×4+4×6=32(4 隻雞、6 隻羊)
10. 【表面積的推論】 學生上數學課時發現:利用小白積木排出的任意正立方 體,它的表面積一定是偶數。 接下來有 3 位同學的推論如下,請問哪些學生的推論是正確的? 甲:利用小白積木排出的任意長方體,它的表面積也一定會是偶數。 乙:排出任意正方體後,不管拿走幾個小白積木,它的表面積還是偶數。 丙:排出任意長方體後,不管加上幾個小白積木,它的表面積也還是偶數。 (A)甲 (B)甲乙 (C)甲丙 (D)甲乙丙。
11. 【等量公理】有一呈平衡狀態的等臂天平,其中左邊的秤盤上有相同的圓柱 3 個、相同的圓錐 3 個;右邊的秤盤有相同的正方體 3 個、與左邊秤盤相同 的圓錐 6 個。已知小實與小中將此平衡天平分別作下列的操作:
對於兩人操作的過程,下列敘述何者正確? (A) 小實使用的是等量公理,小中不是 (B) 小中使用的是等量公理,小實不是 (C) 兩人使用的均是等量公理 (D) 兩人使用的均不是等量公理
12. 【因數的應用】有 6 個數:4、10、14、55、77、121。若要將它們分為兩組, 每一組三個數,且每組的乘積相同,則下列哪一個數字與 77 同一組? (A) 4 (B) 10 (C) 14 (D) 121
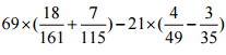
13. 【因數的應用】
= ? (A) 12 (B) 0 (C) -10 (D) -7
14. 【互質】小於 25 的正整數中,與 40 互質的正整數共有幾個? (A) 7 (B) 9 (C) 10 (D) 11
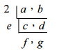
15. 【短除法】小實將 a、b 兩個正整數作質因數分解,完整的作法如下圖。已 知 a>b,e 是質數,且 a、b 的最大公因數是 14,最小公倍數是 98,則下列 哪一個關係是正確的?
(A) d>e (B) e>f (C) e>g (D) f>d
16. 【倍數的應用】若有一個五位數 432□9 除以 22 得餘數 3,則 □ 的值為多 少? (A) 0 (B) 1 (C) 7 (D) 9
17. 【二次函數】設 x
3
-2x
2
+3x-1=a ( x+1 )
3
+b ( x+1 )
2
+c ( x+1 ) +d,求 d=? (A) -1 (B) -3 (C) -5 (D) -7
18. 【二次函數圖形】下列哪一個二次函數的圖形經過平移後,能與 y=-3 ( x +5 )
2
+4 的圖形疊合在一起? (A) y=( x+5 )
2
+4 (B) y=-8x-3x
2
+4 (C) y=-x
2
-15x+4 (D) y=-5+3x
2
+4x
19. 【點到直線的距離】如附圖,△ABC 中,有一點 P 在
上移動。若
=5,
=6,則
的最小值為何? (A) 8 (B) 8.8 (C) 9.8 (D) 10
20. 【平行四邊形的性質】下圖 ABCD 為平行四邊形,
=6,
=7。若∠B 的角平分線交
於 E 點,則△ABE 和四邊形 EDCB 的面積比為何? (A) 6:7 (B) 5:6 (C) 4:5 (D) 3:4
21. 【三角形內角和的應用】已知 △ABC 中, ∠A : ∠B: ∠C = 3:4:5 ,則 △ABC 為 哪一種三角形? (A)銳角三角形 (B)直角三角形 (C)鈍角三角形 (D)等腰三角形
22. 【多邊形的內角和】從一個凸七邊形其中的一個頂點,最多可作出 a 條對角 線;這些對角線將此七邊形分割成 b 個三角形;再利用每一個三角形的內角 和為 180°,可以求得這個七邊形的內角和為 c 度。試問下列哪一個選項是 正確的? (A) a=5 (B) b=5 (C) c=1080 (D) a×180=c
23. 【圓的應用】如下圖,水平地面上有一面積為 30π 平方公分的灰色扇形 OAB, 其中
的長度為 6 公分,且與地面垂直。若在沒有滑動的情況下,將圖中 的扇形向右滾動至
垂直地面為止,則 O 點移動多少公分?
(A) 20 (B) 24 (C) 10π (D) 30π
24. 【柱體體積的應用】如附圖,甲、乙、丙三個柱體容器的高皆相同,已知在 空的甲杯中先倒入 2 杯乙,再倒入 1 杯丙,剛好會將甲杯倒滿,如果再由甲 杯取出兩杯丙,再倒入 1 杯乙,則甲杯剛好會剩半杯,試問下列敘述何者正 確?( 不考慮容器厚度 ) (A) 乙的底面積:丙的底面積=2:1 (B) 乙的底面積:丙的底面積=1:2 (C) 甲的底面積:乙的底面積=3:1 (D) 甲的底面積:丙的底面積=5:2
25. 【統計】甲群資料由小到大依序排列為 x ,16,16,20,20, y ,若甲群資 料之算術平均數為 19,眾數為 16,則乙群資料 x,2x,3x, y ,2y, y , 2y 之算術平均數為多少? (A) 32 (B) 34 (C) 36 (D) 38
26. 【統計圖表】附圖是實驗國小全校學生體重的累積相對次數分配折線圖,若 該校體重的第 3 四分位數為 a 公斤,則下列哪一個數可能是 a 值?
(A) 58 (B) 65 (C) 72 (D) 76
27. 【統計圖表】繪製圓形圖時,如果百分率的總和超過或不足 100%時,通常 會怎麼調整? (A) 調整數據最小的項目 (B) 調整數據中間的項目 (C) 調整數據最大的項目 (D) 不做調整,以保持資料原貌
28. 【求平方和】設 m+n=5,mn=3,求 m
2
+n
2
=? (A)16 (B)19 (C) 31 (D)34
29. 【直角坐標】在坐標平面上,有人從 A(-7,-5)出發,向東走 6 個單位長, 再向北走 8 個單位長到達 B 點,則 A、B 兩點的距離為何? (A)6 (B)10 (C)12 (D)20
30. 【植樹問題】若沿著牆種樹,並且兩端都要種,首先在左端種下樹,然後隔 7m 種一棵,接著再隔 3m 種一棵,依此規律,在種到第 28 棵時,正好在牆 的最右端,問牆的長度是多少公尺? (A)137 (B)140 (C)143 (D)147
31. 【火車問題】長 243m 的火車,以秒速 27m 的速度前進,若火車要通過一座 長 351m 的鐵橋,從車頭一直到車尾完全通過,共花了多少時間? (A)
分 (B)
時 (C)22 分 (D)13 秒
32. 【年齡問題】今年父親是 40 歲,母親是 36 歲,三個孩子分別是大寶 10 歲、 二寶 6 歲、小寶 3 歲,幾年後,父親和母親年齡的和,恰好是大寶和二寶年 齡和的 3 倍? (A) 3 年後 (B) 5 年後 (C)7 年後 (D) 9 年後
33. 【怎樣解題】某公司每天晚上必須派保全人員留守,附表是甲、乙、丙、丁、 戊五位保全人員的留守值班表。該公司排班的規則如下: 1. 按甲、乙、丙、丁、戊的順序,各排一天班。 2. 五人排完之後再以原順序排班。 請問「丙」先生在下列週次中的哪一週必須留守兩次?
(A) 第 38 週 (B) 第 39 週 (C) 第 40 週 (D) 第 41 週
34. 【展開圖】下列各圖皆由相同大小的正方形所構成,請問下列哪一個選項是 正立方體的展開圖? (A)
(B)
(C)
(D)
35. 【表面積與體積】若一個正立方體其表面積為 150 平方公分,則其體積為多 少立方公分?(A) 25 (B) 100 (C) 125 (D) 150
36. 【等差數列】已知一等差數列首項不為 0,且第三項是首項的兩倍,則第八 項是第二項的幾倍? (A) 2 (B) 3 (C) 4 (D) 5 倍
37. 【一元一次方程式】有一個正方形,若將其一邊長減少 3 公分,另一邊長增 加 5 公分,則所得新長方形的面積比原正方形的面積多 21 平方公分,則新 長方形的周長是幾公分? (A)18 (B)38 (C)72 (D)76
38. 【一元一次方程式】如右圖,一個正方形的邊長為 2 公分,剪
去四個等腰直角三角形後成為一個正八邊形,則此正八邊形的邊長為多少公 分? (A)
(B)
(C)
(D)
39. 【二元一次方程式】學生分配宿舍,如果 4 人住一間,則有 2 人無宿舍可住; 如果 5 人住一間,則剩 2 間宿舍,問學生共有多少人? (A) 30 (B) 50 (C) 70 (D) 90 人
40. 【指數律】3
11
+3
11
+3
11
=9
x
, 則 x = ? (A) 6 (B) 9 (C) 11 (D) 12
申論題 (0)
相關試卷
115年 - 115-1 新竹縣立湖口高中_正式教師甄選試題:數學科#138653
115年 · #138653
115年 - [無官方正解]115-1 國立屏科實驗高級中等學校_教師甄選:高中數學科#138645
115年 · #138645
115年 - 115-1 國立屏科實驗高級中等學校_教師甄選試題:國中數學科#138641
115年 · #138641
115年 - 115-1 國立嘉科實驗高級中學_教師甄選試題_高中部:數學科#138615
115年 · #138615
115年 - 115-1 臺北市立大同高級中學_教師甄選初選試題:高中數學科#138591
115年 · #138591
115年 - 115-1 臺北市立大安高工教師甄選試題:數學科#138455
115年 · #138455
115年 - 115-1 國立臺灣師範大學附屬高級中學_專任教師甄選試題:數學科#138411
115年 · #138411
115年 - 115-1 國立臺灣師範大學附屬高級中學_專任教師甄選試題:數學科#138410
115年 · #138410
115年 - 115-1 國立臺灣師範大學附屬高級中學_專任教師甄選試題:數學科#138409
115年 · #138409
115年 - 115-1 臺北市立麗山高級中學_正式教師甄選試題:數學科#138397
115年 · #138397