所屬科目:教甄◆數學
42. 銳角△ABC 中,已知 = 40 , = 26 ,,則 的長度為何? (A) 9 (B) 15 (C) 22 (D) 42
43. 箱子中有紅球2顆、白球2顆。今自箱子中每一次取一球,取後不放回,直到取到紅 球就停止取球,則取球次數的期望值為何? (A) (B) (C) (D)
44. 若點( a ,b) 在圓上,則a +b 之最大值為何? (A) (B) (C) (D)
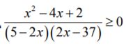
45. 試問不等式 有多少個整數解? (A) 15個 (B) 16個 (C) 17個 (D) 18個
46. 如圖, ABC 中, D 、 E 兩點分別在 、 上,且 AD 為BAC 的角平分線。 若 ,,則BDE 與ABC 的面積比為何? (A) 1:6 (B) 1:9 (C) 2:13 (D) 2:15
47. 算式 之值的百位數字為何? (A) 1 (B) 2 (C) 6 (D) 8
48. 如圖是八個點 P1、P2 、……、P8 在圓上的位置,且此八點將圓周分成八等分。若 、梯形 、四邊形 的周長分別為 a、b、c,則下列關係何者 正確? (A) (B)(C) (D)
49. 符號[ x] 表示不超過 x的最大整數, 若,則=? (A) 22 (B) 23 (C) 25 (D) 27
50. 如圖,邊長為3、4、5公分的直角三角形,其一個頂點與正方形的頂點B重合,另 兩個頂點分別在正方形的兩條邊 、上,則正方形ABCD面積為多少平方公 分? (A) (B) (C) (D)
52. 圖形上的點與0, 2 的最近距離為何? (A)(B) (C) (D)
53. 在圖形上通過點 的切線之斜率為何? (A) (B) (C) (D)
54. 圖形 和圖形 g (x) = 2x 所圍成的區域面積為何? (A) 6 (B) 7 (C) 8 (D) 9
55. 設 x 為實數,則 的最小值為何? (A) 3 (B) 4 (C) 5 (D) 6
57. 如圖,菱形ABCD中,∠A= 120 ° , =1,今以D點為圓心,將菱形ABCD以順時 針方向旋轉90度後至 DA' B' C' ,則圖中的灰色區域面積為何? (A)(B) (C) (D)
59. 如圖,正方形ABCD中,以A為圓心, 為半徑畫 圓弧,E是 上一點,再以E 為圓心,為半徑畫半圓,已知半圓和 圓弧外切,則sin∠EAB = ? (A) (B) (C) (D)
61. 設,則 x 的每位數字之和為何? (A) 15 (B) 18 (C) 21 (D) 24
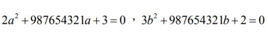
62. 設a、b 為實數,,且 ,則a -b 之最大 值為何? (A) -8 (B) 7 (C) 8 (D) 15
63. 設n 為自然數,則滿足 的n 值中最小為何?(log 2 =0.3010,log3 =0.4771 = ) (A) 42 (B) 43 (C) 44 (D) 45
64. 已知,則 ? (A) 0 (B) (C)(D)
65. 設 x 、 y 滿足 ,則3 x-2 y 的最小值為何? (A) -6 (B) -5 (C) -4 (D) -3
66. 已知,且,求 = ? (A) 2 (B) (C) (D)
67. 桌上有10張卡片分別寫著1~10的10個正整數,寫數字的面朝下。任意翻開一張卡 片,並投擲一顆骰子(點數為1~6)。試問所翻開卡片上的數字與骰子出現的點數的 乘積為完全平方數的機率是多少? (A) (B) (C) (D)
69. 如圖, ABCD為矩形,M 為 的中點,且 垂直直線 AM 於 H 點。若 = 6, =16,則 =? (A) 8 (B) (C) 10 (D)
70. 如圖,ABCD為梯形, , 為梯形兩腰的中 點連線,若AEF 面積為6,則梯形ABCD面積為何? (A) 12 (B) 18 (C) 24 (D) 30
71. 若關於 x 的方程式 的兩個實數解分別為 a 、 b ,則 =? (A) (B) (C) (D)
72. 菱形 ABCD的邊長為3,面積為7,則 = ? (A) (B) (C) (D) 8
73. 已知等差數列{xn}的首項為正,且滿足 ,若 S n為此數列的前n 項和,試問 當Sn 的值最大時,n 為何? (A) 7 (B) 8 (C) 9 (D) 10
74. 求= ? (A) (B) (C) 1 (D)
76. 已知 f ( x) 是 x 的多項式, f (x) 除以2 ( x + 1) ,餘式為 3,2 f ( x) 除以3(x- 2) ,餘式為-4,則3 f( x) 除以,餘式為何? (A)(B) (C) (D)
77. 已知方程式 有兩個不相等的整數根,其中p、q均為正整數且是質數, 則p =? (A) 2 (B) 3 (C) 7 (D) 11
78. 在△ABC 中,C = ° 90 ,= ° B 30 ,是∠BAC 的角平分線, 則 = ? (A)sin ∠BAC (B) cos∠BAC (C) tan∠BAC (D) cot ∠BAC
79. 設P是半徑為20的圓O內部的一點,若過P點的所有弦中,長度為整數的共有16條, 則= ? (A) 6 (B) 8 (C) 10 (D) 12