阿摩線上測驗
登入
首頁
>
工程數學(應用數學, 線性代數、微分方程、複變函數與機率)
> 105年 - 105 身心障礙特種考試_三等_電力工程:工程數學#50040
105年 - 105 身心障礙特種考試_三等_電力工程:工程數學#50040
科目:
工程數學(應用數學, 線性代數、微分方程、複變函數與機率) |
年份:
105年 |
選擇題數:
20 |
申論題數:
7
試卷資訊
所屬科目:
工程數學(應用數學, 線性代數、微分方程、複變函數與機率)
選擇題 (20)
1 若向量 F = i + j+ k, G = i − j− k ,則下列向量何者與 F, G 線性相依(linearly dependent)? (A)i (B)j (C)k (D)i + j− k
2 在二維平面上,點(7, -4)到直線- 4x + 3y −10 = 0的距離為何?(A)10(B)20(C)30 (D)50
3 下列參數式(parameter representation)[x, y, z]中,何者代表橢圓? (A)[1, 2cost,-sint] (B)[-sint, cos2t, 1] (C)[2cost,-sint, t] (D)[-sint, t, cos2t]
4 二函數分別為 f = x + y − z 及 g = xyz,試求∇‧ : (∇( fg)) (A) 2( yz + xz − xy) (B) 2( yz + xz + xy) (C) yz + xz − xy (D) yz + xz + xy
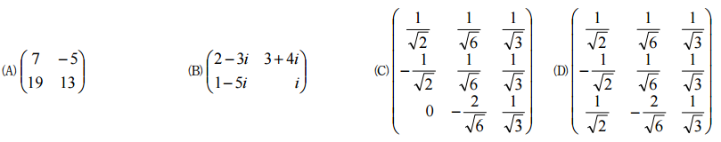
5 下列何者為正交矩陣(orthogonal matrix)?
6 令矩陣
,矩陣 B 滿足 AB = BA,則矩陣 B 可為何?
7 令矩陣
,有關其特徵值 λ及特徵向量(eigenvectors)x 何者錯誤? (A) λ = 5 (B) λ = 3 (C)
(D)
8 令矩陣 A 為一66 ×18 之矩陣且其秩(rank)為 13,若有 m 個線性獨立(linearly independent)向量滿足 Ax = 0 ,另若有 n 個線性獨立(linearly independent)向量滿足 A
T
y = 0 ,其中右上標 T 表示轉置 (transpose),則 m+n 最大值為何? (A)13 (B)26 (C)58 (D)66
9 令
為一複數級數(complex series),若 z
n
≠ 0 且已知
,則下列敘述何者錯誤? (A)若 L <1,則此級數收斂 (B)若 L <1,則此級數絕對收斂(absolutely convergent) (C)若 L >1,則此級數發散 (D)若 L =1且
,則此級數收斂
10 假設 C 為沿著逆時針方向繞圓周 z − 2i = 2 ,試求積分
為何? (A)0 (B)i (C) −i (D)-1
11
化簡後可得: (A)1+ 4i (B)1− 4i (C) −1+ 4i (D) −1− 4i
12 y′′ − xy′ + 2y = 0, y(0) =1, y′(0) =1 以級數法解得
=? (A)0 (B)-1 (C)2 (D)1
13
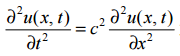
滿足下列那種性質?其中 c 為實常數: (A)拋物線型 (B)橢圓型 (C)熱傳導方程式 (D)波動方程式
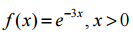
14 已知
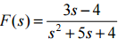
,求其所對應之反拉氏轉換(Inverse Laplace Transform)函數 f (t) :
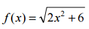
15 一函數
,下列何者正確?
16 以級數
,則其所得到的遞迴關係式(Recurrence relation)為何? (A)(n +1)an+2 + (n + 2)(n +1)an+1 + 4an = 0 for n = 2, 3,…… (B)(n + 2)(n +1)an+2 + nan+1 + 4an = 0 for n = 2, 3,…… (C)(n + 2)(n +1)an+2 + (n +1)an+1 + 4an = 0 for n = 2, 3,…… (D)(n + 2)(n +1)an+2 + 4an + (n −1)an−1 = 0 for n = 2, 3,……
17 下列何者為偶函數? (A) f (x) = x cos x (B)
(C) f (x) = x
5
− 5x
3
(D) f (x) = sin x
18 自
中均勻且隨機(uniformly and randomly)挑出點(x, y),令
,試求當0 < r < 1 時之累積分佈函數(cumulative distribution function)為何? (A) r
4
(B) r
3
(C) r
2
(D) r
19 一射手射擊一目標 4 次,每次射擊皆為獨立事件且命中之機率皆為 0.7,試求該射手非全部命中亦非全部 不命中之機率為何?
20 給定一個離散隨機變數(discrete random variable)X,它的機率質量函數(probability mass function)為
則 K 之值為何? (A)1/2 (B)2/3 (C)3/4 (D)2
申論題 (7)
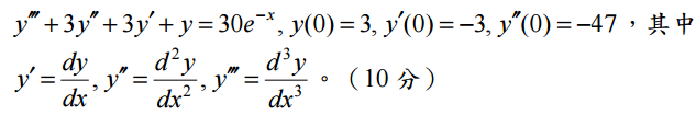
【已刪除】一、請用拉普拉斯轉換(Laplace transform)解微分方程式:
⑴求矩陣
X
使得
D = X
-1
AX
成為一對角矩陣(diagonal matrix)。(7 分)
⑵求
A
50
。(8 分)
⑴∫
C
F
(
r
) •d
r
(5 分)
⑵∫
C
F
(
r
)dt (5 分)
⑴ |z −i |<1(8 分)
⑵2 < |z − i| < ∞(7 分)
相關試卷
114年 - 114 專技高考_電機工程技師:工程數學(包括線性代數、微分方程、複變函數與機率)#133679
114年 · #133679
114年 - 114 專技高考_電子工程技師:工程數學(包括線性代數、微分方程、向量分析、複變函數與機率)#133677
114年 · #133677
114年 - 114 調查特種考試_三等_電子科學組:工程數學#129578
114年 · #129578
114年 - 114 國家安全情報特種考試_三等_電子組(選試英文):工程數學#127780
114年 · #127780
113年 - 113 專技高考_電子工程技師:工程數學(包括線性代數、微分方程、向量分析、複變函數與機率)#123976
113年 · #123976
113年 - 113 專技高考_電機工程技師:工程數學(包括線性代數、微分方程、複變函數與機率)#123971
113年 · #123971
113年 - 113 調查特種考試_三等_電子科學組:工程數學#122110
113年 · #122110
113年 - 113 身心障礙特種考試_三等_電力工程:工程數學#119517
113年 · #119517
112年 - 112 地方政府特種考試_三等_電力工程、電子工程:工程數學#118376
112年 · #118376
112年 - 112 專技高考_電機工程技師:工程數學(包括線性代數、微分方程、複變函數與機率)#117639
112年 · #117639