阿摩線上測驗
登入
首頁
>
技檢◆飛機修護-乙級
> 105年 - 17600 飛機修護 乙級 工作項目 01:飛機修護基礎技術#41606
105年 - 17600 飛機修護 乙級 工作項目 01:飛機修護基礎技術#41606
科目:
技檢◆飛機修護-乙級 |
年份:
105年 |
選擇題數:
95 |
申論題數:
0
試卷資訊
所屬科目:
技檢◆飛機修護-乙級
選擇題 (95)
1. 下列何者不是飛機啟動氣源供應的來源?(A)發動機壓縮器所洩放之壓縮空氣(B)輔助動力器(APU)(C)地面之 氣源車(D)地面之空調車。
2. 下者何者不屬於飛機上主要操作面(A)副翼(B)升降舵(C)方向舵(D)襟翼。
3. 機翼翼弦與空氣流動方向之夾角稱之為(A)機翼傾角(B)攻角(C)上反角(D)夾角。
4. 機翼翼弦與縱軸之夾角稱之為(A)機翼傾角(B)攻角(C)上反角(D)夾角。
5. 機翼與機翼翼根處水平線之夾角稱之為(A)機翼傾角(B)攻角(C)上反角(D)夾角。
6. 飛機飛行速度與音速之比值稱為(A)馬赫數(B)音速(C)音波(D)超音波。
7. 機翼前緣與後緣連接之線稱為機翼之(A)翼弧中心線(B)翼弦(C)翼展(D)翼剖。
8. 超音速飛行之飛機機翼主要空氣動力中心位於翼弦(A)15%(B)25%(C)40%(D)50% 之處。
9. 次音速飛行之飛機機翼主要空氣動力中心位於翼弦(A)15%(B)25%(C)40%(D)50% 之處。
10. 下者何者不屬於飛機副操作面(A)前緣縫翼(B)擾流板(C)副翼(D)襟翼。
11. 水平安定面前緣向下移動時,飛機之機頭會(A)上仰(B)下俯(C)保持不變(D)偏移。
12. 昇降舵後緣向下移動時,飛機之機頭會(A)上仰(B)下俯(C)保持不變(D)偏移。
13. 飛機上唯一不對稱之操縱面為(A)升降舵(B)方向舵(C)襟翼(D)副翼。
14. 飛機上裝置有防止失速之狹條,其位置於機翼(A)翼尖之前緣處(B)翼之前緣處(C)翼根尖之後緣處(D)翼根之後 緣處。
15. 飛機向左滾轉時,副翼之動作為(A)左上右下(B)左下右上(C)左上右上(D)左下右下。
16. 飛機上主操縱系使用之鋼繩種類為(A)7x7(B)7x19(C)7x17(D)9 x19 鋼繩。
17. 飛機上副操縱系使用之鋼繩種類為(A)7x7(B)7x19(C)7x17(D)9 x19 鋼繩。
18. 鋼繩之張力主要受何因素之影響(A)材料(B)硬度(C)結構(D)溫度。
19. 飛機上利用何者改變鋼繩行走之方向(A)導向套(B)滑輪(C)扭力管(D)扇形板。
20. 大氣中聲音的速度與何因素有關(A)壓力(B)風速(C)方向(D)溫度。
21. 何者不是熱量傳遞的方式?(A)傳導(B)對流(C)擴散(D)幅射。
22. 在空氣中給予一體積內所含實際之水份稱之為(A)零濕度(B)感覺濕度(C)真實濕度(D)絕對濕度。
23. 防冰系統中以(A)中性肥皂水(B)蒸餾水(C)酒精(D)鹽水 清潔橡膠除冰套。
24. 動靜壓管利用下列何者執行防冰工作?(A)高壓空氣(B)電力(C)除冰液(D)鹽水。
25. 使用於主操縱系控制系統上之鋼繩,其允許最小尺寸為(A)1/2(B)1/4(C)1/6(D)1/8 吋直徑之鋼繩。
26. 飛機於飛行時,機翼下表面所承受之應力為何種?(A)剪應力(B)壓縮應力(C)擴張應力(D)旋轉應力。
27. 由所測得之壓力與標準大氣壓力之差所得即為(A)差壓力(B)表壓力(C)計算壓力(D)真壓力。
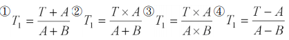
28. 氣壓隨高度上升之遞減率大約是(A)每一吋水銀柱高度為 100FT(B)每一吋水銀柱高度為 1000FT(C)每一吋水銀 柱高度為 200FT(D)每一吋水銀柱高度為 2000FT。
29. 最大巡航高度上的客艙高度值為(A)6000 英呎(B)7000 英呎(C)4000 英呎(D)8000 英呎。
30. 現代噴射客機的加油操縱電源多為(A)28 伏直流電(B)單相 115 伏交流電(C)28 伏直流電和三相 115 伏交流電(D) 三相 115 伏交流電。
31. 動靜壓管內的防冰方式是(A)電熱防冰(B)發動機引氣防冰(C)液體防冰(D)機械能防冰。
32. 差壓式結冰探測器是根據何者提供警報的(A)兩根導線之間的電壓之差(B)電阻上的電壓大小之差(C)動壓室和 靜壓室之間的氣壓之差(D)發動機進氣道的壓力之差。
33. 一般飛機上的主發電機能產生多少電能(A)100W-1000W(B)60KVA-90KVA(C)1000KW-2000KW(D)120Ah-200Ah。
34. 在發電機的故障保護裝置中設置延時的目的是(A)防止損壞負載(B)防止錯誤動作(C)發生故障時持續動作(D)防 止發生更嚴重的故障。
35. 油氣式減震支柱的作用是(A)將減震支柱鎖在〝收上〞位置(B)將減震支柱鎖在"放下"位置(C)當減震支柱壓縮 時,延遲液壓油的流動(D)調節減震支柱內的空氣流速。
36. 裝有油氣式減震支柱的飛機,在著陸撞擊時,是靠什麼進行緩衝的?(A)液壓油在高壓下迅速溶解於氣體中 (B)支柱內的充氣被壓縮(C)液壓油迅速壓縮(D)液壓油被迫流經限流孔。
37. 安裝金屬硬管的正確做法是(A)在上緊接頭之前在接頭接合面和硬管的喇叭口上塗上油脂(B)在上緊接頭之前 必須使管子的喇叭口和接頭對正(C)用螺帽將喇叭口拉向接頭使它們貼合(D)為了防止漏油,接頭要越緊越好。
38. 具有雙向密封的密封件為(A)U 形密封圈(B)V 形密封圈(C)O 形密封圈(D)Y 形密封圈。
39. 雙開口扳手的英文名稱為(A)OPEN/END WRENCH(B)BOX WRENCH(C)SPEED HANDLE(D)SCREW DRIVER。
40. 十字螺絲刀的英文名稱為(A)FLAT SCREW DRIVER(B)SCREW JACK(C)SOFT(D)PHILLIP SCREW DRIVER。
41. 在進入燃油箱內工作時,維修人員使用之手電筒必須具備(A)防碎裂(B)防爆(C)不必更換電池(D)不導電 的功 能。
42. 拆裝管路接頭選用(A)梅花扳手(B)棘輪扳手(C)開口扳手(D)活動扳手 最合適。
43. 下列哪一項不屬於美國標準件螺桿的代號(A)MS(B)NAS(C)NSA(D)AN。
44. 當很多螺桿被以單股保險絲串聯,保險安全線最長以(A)12 英吋(B)6 英吋(C)18 英吋(D)24 英吋 為限。
45. D 鉚釘材質為 2017,鉚釘頭記號為(A)中心有凸點(B)中心有一凹點(C)中心有兩道凹點(D)中心為大字型 剪力 為每平方吋 38,000 磅,淬火後需存放於冰庫中,以延展柔軟材質。
46. 因工作需要在扭力扳手頭上加延長桿配接器,若 A=原來扳手的長度,B=延長桿接頭長度,T=原來的實際扭 力值,試問修正後之扭力值 T1,應為
47. 在飛機液壓系或發動機啟動、拖機等時機,為了提醒地面人員及其他作業人員注意,必須開啟(A)taxi light(B) anti-collision light(C)landing light(D)wing light。
48. 飛機管路系統標誌中,標籤背景綠色的是(A)pneumatic system(B)fuel system(C)oxygen system(D)oil system。
49. 滑油系為 ATA 第(A)72(B)73(C)74(D)79 章。
50. 在 4 至 6 英吋內,只可將幾個螺桿連保在一起(A)一個(B)兩個(C)三個(D)四個。
51. 在磁羅盤附近,應裝用何種螺桿(A)保險螺桿(B)剪力螺桿(C)全牙螺桿(D)無磁性螺桿。
52. 高速下空氣在管內流動速度大之處其壓力必低,速度小之處壓力必高為:(A)牛頓定律(B)虎克定律(C)包端管 原理(D)文氏管原理。
53. 將熱能轉為機械能的主要機件為(A)連桿(B)渦輪(C)尾錐(D)擴散器。
54. 高度增加時 IAS 將漸減少,將 IAS 換為 TAS 之方法為(A)每 1000 呎增加 2%(B)每 1000 呎減少 2%(C)每 1000 呎 增加 5%(D)每 1000 呎減少 5%。
55. 地速等於(A)距離×60/飛行時間(分鐘)(B)距離×60/飛行時間(秒鐘)(C)距離×60/飛行時間(小時)(D)距離×60/飛行時 間(60 分鐘)。
複選題
複選題:
56. 大氣中音速與下列哪些因素有關?(A)音速的頻率變化(B)大氣溫度變化(C)局部靜壓變化(D)大氣層高度。
複選題
57. 一飛機機翼能產生升力的原因為?(A)正壓力作用於機翼上表面及下表面(B)負壓力作用於機翼下表面及正壓 力作用於機翼上表面(C)正壓力作用於機翼下表面及負壓力作用於機翼上表面(D)機翼上表面流速比機翼下表 面流速快。
複選題
58. 一高展弦比之飛機機翼將會有那些特點?(A)在高功角飛行時有較高之阻力(B)有較低之失速速度(C)在低速飛 行時會較不易操作(D)飛行較省油。
複選題
59. 有哪些大氣條件會影響飛機落地跑到距離加長?(A)較高之大氣濕度(B)較高之大氣溫度(C)較高之大氣風速(D) 較低之大氣溫度。
複選題
60. 下列何種非破壞性檢測適合鋁合金鑄造件表面裂紋檢測?(A)液滲檢測(B)磁粒檢測(C)渦電流檢測(D)超音波檢 測。
複選題
61. 下列何種結構破壞適合液滲檢測?(A)多孔性塑膠材料(B)鐵質幸金屬材料(C)非鐵質性金屬材料(D)非多孔性塑 3 膠材料。
複選題
62. 下列何種飛機電瓶充電方式是正確?(A)不同電壓但相同安培小時電容量電池相互並聯,以等電流方式充電 (B)不同電壓但相同安培小時電容量電池相互串聯,以等電流方式充電(C)相同電壓但不同安培小時電容量電 池相互並聯,以等電壓方式充電(D)相同電壓且相同安培小時電容量電池相互串聯,以等電流方式充電。
複選題
63. 拆裝飛機電瓶時,下列何者為正確?(A)裝飛機電瓶時,先接負極,後接正極(B)裝飛機電瓶時,先接正極, 後接負極(C)拆飛機電瓶時,先拆負極,後拆正極(D)應使用非金屬,工具以避免短路。
複選題
64. 增加飛機重量會影響飛機何項飛行性能?(A)增加飛機機翼功角(B)增加飛機誘導阻力(C)增加飛機表面阻力(D) 減低飛機航程。
複選題
65. 飛機飛行從次音速加速至超音速有何特別現象?(A)飛機機翼壓力中心向前移(B)飛機機翼壓力中心向後移(C) 機翼表面壓力分佈均勻(D)飛機機翼空氣動力中心位於機翼弦線中心。
複選題
66. 飛機上反角設計目的是為何?(A)增加飛機縱軸穩定性(B)增加飛機橫軸穩定性(C)增加飛機滾轉穩定性(D)增加 飛機垂直軸穩定性。
複選題
67. 在新式飛機上應用交流電系統之原因是由於?(A)此系統較直流電裝置重量輕(B)可利用變壓器以便調整電壓 (C)交流電效率高於直流電(D)交流電易於充電。
複選題
68. 交流發電機並聯時應注意哪些因素?(A)發電機轉速(B)發電機電壓(C)發電機電流(D)發電機相位。
複選題
69. 大多數飛機的電器系統電壓為?(A)6 伏(B)12 伏(C)24 伏(D)36 伏。
複選題
70. 關於並聯電路,下列何者敘述正確?(A)總電阻小於各分電阻(B)移除線路中任一分電阻,其總電阻將變大(C) 總電阻降低等於線路中之總店壓降(D)總電阻等於各分電阻和。
複選題
71. 飛機座艙加壓目的為何?(A)提高機艙溫度(B)容許在高空飛行(C)增加飛機結構強度(D)防止乘客缺氧。
複選題
72. 機械省力的裝置有哪些?(A)滑輪組(B)槓桿原理(C)齒輪組(D)液壓組。
複選題
73. 飛機計算之負載重量應考量哪些因素?(A)飛航組員(B)乘客(C)燃油量(D)固定裝備。
複選題
74. 鋁合金陽極化處理目的為何?(A)防鏽蝕(B)減低表面應力(C)改善噴漆附著品質(D)將低摩擦阻力。
複選題
75. 一定容量之理想氣體,溫度不變時,下列何者正確?(A)體積增加兩倍,壓力不變(B)體積增加兩倍,壓力減 小一半(C)體積增加,密度增加(D)體積減小,密度增加。
複選題
76. 飛機等速平飛的條件,下列何者敘述正確?(A)飛機升力大於飛機重量(B)飛機升力等於飛機重量(C)飛機推力 大於飛機阻力(D)飛機推力等於飛機阻力。
複選題
77. 如果飛機重心位置已向前超出前方中心位置,下列何者敘述正確?(A)飛機穩定性增加(B)增加飛機起飛距離 (C)提高飛機失速速度(D)增加飛機耗油率。
複選題
78. 有關封閉體積液體之沸點溫度,下列何者敘述正確?(A)與壓力成正比(B)與壓力成反比(C)與體積成正比(D)與 體積成反比。
複選題
79. 渦輪引擎延遲啟動(Hung start)應如何處理?(A)立即關斷引擎(B)加速製額定轉速(C)檢查啟動器(Starter)(D)重新 啟動引擎。
複選題
80. 當渦輪引擎啟動後並有燃油流量顯示,重要檢查項目為?(A)引擎排氣溫度(EGT)(B)引擎進氣溫度(TIT)(C)引擎 中段溫度(ITT)(D)燃油存量。
複選題
81. 2024-T4 鋁合金航空用金屬其材料特性,下列何者敘述正確?(A)自然時效熱處理之鋁合金(B)鋁銅合金(C)鋁鎂 合金(D)人工時效熱處理之鋁合金。
複選題
82. 磁粒非破壞性檢測,適合下列何種檢測規範?(A)磁導性材料(B)淺層金屬表面破壞(C)破壞裂紋方向須盡量與 磁力線方向相平行(D)可以不必完全清潔表面髒汙與塗層。
複選題
83. 飛機地面由車加油搭的現處理,下列何者敘述正確?(A)飛機與地面搭地(B)油車與地面搭地(C)飛機與油車搭 地(D)加油人員與地面搭地。
複選題
84. 描述飛機應力腐蝕,下列何者敘述正確?(A)應力腐蝕會由不當熱處理產生(B)應力腐蝕會由上螺絲不當力量 或鉚接不當所產生(C)應力腐蝕可由熱處理方法消除(D)應力腐蝕可由珠擊方法消除。
複選題
85. 增加飛機升力的裝備有哪些?(A)襟翼(Flap)(B)副翼(Aileron)(C)翼尖小翼(Wing let)(D)縫翼(Slat)。
複選題
86. 二氧化碳型滅火器是用於哪些種類火災?(A)B 類液態燃油(B)C 類電器火災(C)D 類可燃金屬(D)發動機火災。
複選題
87. 飛機空中轉彎飛行運動力量來自哪裡?(A)飛機升力傾斜產生向心力(B)飛機重量(C)飛機尾舵控制圓周運動(D) 4 飛機向前飛行速度。
複選題
88. 飛機機翼承受升力之彎曲力矩時,機翼結構會產生那些應力?(A)壓應力(B)拉應力(C)剪應力(D)扭曲應力。
複選題
89. 下列何者單位轉換是正確的?(A)攝氏 0℃=華氏 32℉(B)長度 1 in=25.4mm(C)重量 1kg=3.2lb(D)轉速 1RPM=100 轉/sec。
複選題
90. 描述熱所產生之功,下列何者敘述正確?(A)1 Btu = 778 ft-lb 之功(B)1 Btu 為 1 lb 質量的水上升 1℉所需之能量 (C)1 Calorie 為 1g 質量的水上升 1℃所需之能量(D)功(work)= 力量(F)x 溫度。
複選題
91. 飛機縱軸方向滾轉穩定性,可以由那些飛機外型設計來控制?(A)垂直尾(B)方向舵(C)機翼上反角(D)上翼型飛 機機翼。
複選題
92. 旋翼機主旋翼所產生之扭矩,可由那些方式控制?(A)改變主旋翼俯仰角度(B)利用尾旋翼控制(C)在尾桿上利 用引擎排氣噴流控制(D)改變主旋翼仰角。
複選題
93. 電路學歐姆定理,下列者者敘述正確?(A)電路中電阻與電流及電壓成反比(B)電路中電阻與電流成反比,電 阻與電壓成正比(C)電壓=電流 X 電阻(D)電路中電阻與電流及電壓成正比。
複選題
94. 12 伏特 48AMPS 之鉛酸電池,放電完後充電,下列何者敘述正確?(A)需 13 伏特 4 安培電流需充電 1 小時(B) 需 13 伏特 4 安培電流需充電 12 小時(C)需 25.2 伏特 8 安培電流需充電 4 小時(D)需 13 伏特 8 安培電流需充電 6 小時。
複選題
95. 哪些種類纖維屬於航空複合材料?(A)碳纖維(B)克維拉縴維(C)玻璃纖維(D)硼纖維。
申論題 (0)
相關試卷
114年 - 17600 飛機修護 乙級 工作項目 07:航空法規 51-78(2025/12/31 更新)#135983
114年 · #135983
114年 - 17600 飛機修護 乙級 工作項目 07:航空法規 1-50(2025/12/31 更新)#135982
114年 · #135982
114年 - 17600 飛機修護 乙級 工作項目 06:安全措施 1-18(2025/12/31 更新)#135981
114年 · #135981
114年 - 17600 飛機修護 乙級 工作項目 05:飛機檢查及文件查閱 1-15(2025/12/31 更新)#135980
114年 · #135980
114年 - 17600 飛機修護 乙級 工作項目 04:飛機電氣及儀表系統修護 101-134(2025/12/31 更新)#135979
114年 · #135979
114年 - 17600 飛機修護 乙級 工作項目 04:飛機電氣及儀表系統修護 51-100(2025/12/31 更新)#135978
114年 · #135978
114年 - 17600 飛機修護 乙級 工作項目 04:飛機電氣及儀表系統修護 1-50(2025/12/31 更新)#135977
114年 · #135977
114年 - 17600 飛機修護 乙級 工作項目 03:飛機渦輪發動機修護 101-164(2025/12/31 更新)#135976
114年 · #135976
114年 - 17600 飛機修護 乙級 工作項目 03:飛機渦輪發動機修護 51-100(2025/12/31 更新)#135975
114年 · #135975
114年 - 17600 飛機修護 乙級 工作項目 03:飛機渦輪發動機修護 1-50(2025/12/31 更新)#135974
114年 · #135974