所屬科目:教甄◆物理科專業
1. . 斜拋之物體,若其水平射程為 R ,離地最大高度為 H,則拋射時之初速度為何(重 力加速度為 g)? (A)(B)(C) (D) 。
2. A、B兩車同時由同一直線公路的不同地點出發,其位置x(m)對時間t(s)之關係如下圖所 示;已知B車初速為零,且關係圖中B直線部分之斜率等於拋物線部分在40s處切線之 斜率;試問兩車速率相等時,其間距離D? (A)228m (B)250m (C)212m (D)328m。
3. 如下圖有一作等加速度直線運動的物體,依次通過A、B、C三點,其中 = 。已 知物體在 段的平均速度為8m/s,在 段的平均速度為10m/s,則物體在B點的瞬 時速度為? (A) m/s (B)20m/s (C) m/s (D) 7 m/s。
4. 如下圖,木塊質量為 m,滑輪質量為零,兩彈簧彈力係數皆為 k 且彈簧質量可忽略。 今將木塊輕輕拉離平衡位置後釋放,求木塊的振動週期為(忽略所有摩擦力及阻力)(A)(B)(C)(D)
5. 將一帶電粒子經電位差 V 加速後,射入磁場 B 中。若粒子束的速度與磁場方向的夾 角為 θ,其軌道半徑為 R,則該粒子的荷質比為?(A)(B)(C)(D)
6. 一顆棒球由高處靜止落下,通過正下方長度為 h 的垂直管桶時,費時為 T,求管子上 緣與棒球的出發位置相距多遠?(A)(B)(C)(D)
7. 容器內有 n 莫耳的氦氣,當將此系統絕對溫度增高 T 度時,其原子的方均根速率從 v 增至 2v。今若欲將該容器中氦原子的方均根速率從 v 增至 3v,則需把此系統絕對溫 度增高若干?(A)(B)(C)(D)
8. 如下圖所示,有一重量420gw的均勻球體,以細繩懸於鉛直牆壁上,如圖所示,當達 平衡時,細繩與牆的夾角為37°,則此時牆對球的正向作用力大小為何? (A)180gw (B)240gw (C)252gw (D)315gw。
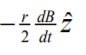
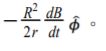
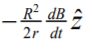
9. 一均勻及時間函數的磁場,垂直通過半徑為 R 的圓形灰色區域,如下圖 所示,求在外圍區域(r>R)的感應電場 (induced electric field)?(A)(B)(C)(D)
10. 電量+q、質量 m 的質點斜向射向一帶電+Q 之固定點電荷而 被散射,如右圖所示,若+q 距+Q 無窮遠時速率為,運動 至 P 點最接近時的速率為 2 v ,則當兩質點最接近時,+q 質 點運動軌跡之曲率半徑為何?(A)(B)(C)(D)
11. 如圖(一)所示,一質量為 m 的小物體繫於長度分別為1、2 的兩根細線上,1 的一 端懸掛在天花板上,與鉛直方向夾角為θ,2 水平拉直,物體處於平衡狀態,將 2 線剪斷,剪斷瞬間物體的加速度為a1。若將圖(一)中的細線 1 改為長度相同、質量 不計的輕彈簧,如圖(二)所示,其他條件不變,將2 線剪斷,剪斷瞬間物體的加速度為a2。求a1/a2=?(A)sinθ (B)cosθ (C)tanθ (D)1
12. 如下圖所示,A 物體質量 3m,受一水平推力 F 作用,在水平面上運動,另一質量 m 的物體 B 在 A 的正前方,所有接觸面的靜摩擦係數皆為 0.5,動摩擦係數皆為 0.4, 欲使 B 不會落下,推力 F 大小至少為何?(重力加速度為 g) (A)8mg (B)9mg (C)9.2mg (D)9.6mg 。
13. 質量 M、半徑 R 的鐵球,挖去直徑 R 的內切圓球部分,如右圖 所示,挖去部分的球心為 A,則剩餘部分在 O 點及 A 點所產生 的重力場強度大小的比值為何?(A)1(B)(C)2(D)
15. 有一焦距為 10 公分的圓形凸面鏡,鏡面直徑為 5 公分,沿凸面鏡主軸方向有一平行 光束射向凸面鏡的鏡頂,此平行光束的截面為半徑 r=1 公分的圓形。若距凸面鏡 30 公分前有一垂直主軸的紙屏,求此平行光束經凸面鏡反射至紙屏的光亮面積約為多少 平方公分?(忽略凸面鏡的厚度) (A)9π (B)16π (C)25π (D)36π。
16. 如右圖所示,足夠長的絕緣光滑斜面與水平面間的夾角為 α (sin α=0.6),放在水平方向的均勻磁場和均勻電場中, 電場強度 E=50 V/m,方向水平向左,磁場的強度 B=5 特士拉(T),方向垂直於紙面向外。一個帶電量 q=+0.1 庫 倫,質量 m=1 kg 的光滑小球,以初速 v0=20m/s 從斜面 底端 A 衝上斜面,經過幾秒離開斜面?(重力加速度 g= 10m/s 2 ) (A)1 (B)3 (C)5 (D)7。
01. 在一均勻磁場 B 中,有一長為L、電阻為 R 的金屬直棒 POQ,以 O 為圓心,垂直於磁場, 以等角速度 ω 旋轉,若 ,將電阻為 R 之燈泡的兩端分別與 O、P 點聯結, 則此燈泡之電功率為___________
05. 如下圖所示,甲、乙兩輛無摩擦且完全相同的小車,質量分別為 2M 及 3M,乙車內用繩懸吊 一質量為 M 的小球,當乙車靜止時,甲車以速度 v 與乙車相碰,碰撞後合為一體,試求當小 球盪到最高點瞬間,其速率為多少?______
07. 如下圖所示,在傾角θ=30° 的斜面上,一個質量為 1kg 的物體,用彈性係數為 100N/m 的彈簧 平行斜面吊住,此物體放在 PQ 間任何位置均能靜止(放在 PQ 外則否),且 AP=22cm,AQ= 8cm (彈簧在彈性限度內),求斜面對物體的最大靜摩擦力為 ___牛頓。(重力加速度 g= 10m/s2 ) (3 分)
08. 如下圖所示,向右以加速度 a 運動之光滑斜面(斜角為θ,斜面長為)上,輕放一質量為 m 之物 體,使物體沿斜面運動的情形下,求此物體滑至斜面底端的時間___________。
09. 如下圖所示,A、B 兩物體質量分別為 0.5kg、0.3kg,緊靠在一起置於光滑水平地面上,另一質 量 0.2kg 的 C 物體以 v0=25m/s 的初速度滑向 A 表面,最後 C 停在 B 表面上,且兩者共同以 8m/s 的速度向右運動。求物體 C 恰脫離 A 時,C 之速率為 ______ m/s。(3 分)
10. 如下圖所示,兩個不同的容器中裝有質量、溫度均相同的同種氣體,甲容器內氣體壓力為 p1 , 乙容器中氣體壓力為 p 2,將兩容器連通後,設溫度不變,則容器內氣體的壓力為 _______ 。(2 分)
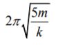
01. 行星繞著恆星運動,其軌道為橢圓型,過程中力學能守恆,請證明力學能的大小軌道的力學能 (G:引力常數、M:恆星質量、m:行星質量、a:半長軸)。證明過程中可以自行假設速 度、距離等物理量。(4 分)
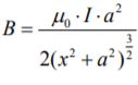
02. 利用必歐-沙伐(Biot-Savart)定律證明:半徑 a 載電流 I 圓線圈,在其對稱軸上距圓心 x 處所建 立的磁場大小 ( μ0 = 真空磁導率)。(3 分)
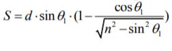
03. 一束光以入射角 θ1 射入折射率為 n、厚度為 d 的平行透明玻璃磚,經兩次折射後,射出平行玻 璃磚的另一邊,其射出光線與入射光線必互相平行,但會側移一段距離 S,稱 S 為橫向位移, 請證明: 。(4 分)