所屬科目:教甄◆物理科專業
1.一均勻桿(比重 0.5)其一端被吊起,另一端浮於水中。如圖所示,求此均勻桿沒入液面的體積占比為 ______________。
2. 以波長為200 nm的光照射在鈉金屬進行光電效應實驗,已知鈉的功函數為2.3 eV,則被光照射後釋出的電子最高動能為______________
3. 一個點電荷(電量q)置於邊長為a之正立方體之一角,如圖所示,求通過三角形ABC之電通量。(以介電常數ε0作答)
4.如圖,兩斜面均為光滑斜面,且高度均為45m。其傾斜角各為53°及37°,一鋼珠以某初速自左側斜面底端上滑,通過頂點後作斜向拋射,重力加速度量值為10m/s2。若鋼珠恰落到右側斜面底端處,則鋼珠的初速度為______________m/s
5. 如下圖所示,質量m的小球從彈力常數為k且質量不計的輕彈簧正上方高度h處自由落下,並在落下後與彈簧結合,開始做簡諧運動,若重力加速度以g表示,則此簡諧運動的振幅為 ______________
6. 將一點光源波長為5000Å之單色光照射一雙狹縫,雙狹縫相距0.02cm,點光源發出的光至兩狹縫之光程差a − b=2500Å(如圖所示),則此光在距狹縫80cm屏上之第二亮帶中線(中央線上方),對雙狹縫中點所張的角度θ約為______________rad
7. 如下圖,在一水平的光滑軌道上放置一質量為m的金屬桿,導軌間距為L,另一端連接電阻,其餘部分電阻不計。整個裝置放在一個均勻磁場B中,磁場方向垂直向下。今給金屬桿一個水平向右的初速度v0,若導軌足夠長,則金屬桿在導軌上向右移動的最大距離為______________
8. 折射率為1.5之玻璃板,欲藉著塗上薄膜使其對波長?=560nm之光波反射達最小。若薄膜折射率2.0,則薄膜最小厚度為______________ nm
9. 有一長為a、寬為 w的線圈其電阻為R,施一外力 F使其以等速度v 通過一範圍為d(d>a)的均勻磁場B ,磁場的方向為垂直射入紙面,如圖所示。在時間t = 0時,線圈恰接觸磁場的邊緣。欲使線圈等速度完全通過磁場,全程外力F需施給線圈衝量至少為____________
10. 如圖,有一質量為m的物體由傾斜角θ 且質量為M的光滑斜面頂端自由滑下,整個斜面置於光滑的水平面上,若斜面高度h,重力加速度為g,求m在下滑過程中,M與m之間的正向力為______________
11.一艘船質量M在河面上以v1速率行駛時,引擎突然熄火,船受到河水與船間的阻力減速t秒後降至v2速率。已知阻力與船速大小呈正比,阻力量值為,求船速從v1降至v2所需時間t為______________ s。
12. 將一質量為M=8kg、半徑R=1cm 的均勻實心圓柱,置於一傾斜角度為37°的斜面上,並用一條不可伸縮的輕繩沿著圓周纏繞,另一端則跨過無摩擦且質量不計的滑輪後,連接一個質量為m=2kg的物體,如下圖所示。若A圓柱在下滑的過程為純滾動,且重力加速度g=10m/s2,物體上升的加速度為________ m/s2。 (圓柱的轉動慣量為MR2)
13. 一隻火箭初速,其中M為地球質量,R為地球半徑,G為萬有引力常數;此火箭之初速度方向與當地之水平線夾60°,求此火箭以此出速被彈射後之最大高度為__________。
14.一單原子理想氣體的熱力學系統進行如下圖的循環過程,試問此系統經歷每一個循環所需吸收的熱能為 _______________
15. 如圖所示,一移動的聲源以速率 v=20m ? ⁄ 沿著x軸向右側牆面靠近,並發出頻率f0=28.8kHz,已知空氣中聲速340m⁄s ,求站在S左側D點的觀測者所偵測到之拍頻(beat frequency)為__________。
16.一輛車質量為m,以一輸出功率為P的引擎推動由靜止開始作直線運動,求在t時間後所行之距離S為 _____________。
17.使用一焦距20公分的凸透鏡,向下俯視水面下方16公分處的物體,欲得到放大5倍的虛像,則透鏡需要距離水面為____________公分。
18.電路圖如下,若將a、b兩點用導線連接,則通過10 V電池的電流為___________A
19.在波耳氫原子模型中,已知普朗克常數為h,且電子在基態時繞轉週期為T,則電子由第三激發態躍遷至基態時所放出的光子頻率為 ___________
20.長 1m,質量4kg的均勻得均勻木棒,兩端分別附著5kg和3kg的物體,棍之中央以無摩擦承軸連接在直立牆壁上,且較重物在木棒上方,較輕物在木棒下方(如圖示)。若此系統因輕微擾動而失去平衡,當較重物轉至最下端時,求5kg的速率為 ___________
21.一帶電荷q、質量m之小球,由一細繩懸吊,與一垂直之無限大非導體帶均勻電荷之平面夾 ?角,如圖所示。求帶電平面之面電荷密度為 ___________
22. 三相同的金屬圓圈,兩兩互相垂直的連結成如圖示之電路。若金屬圓圈之電阻皆為R,求圖示中A、B兩點間之等效電阻為 ___________
23. 圖中光源發射波長為5400 Å之單色光。S是屏幕I上之一狹縫。有一平面鏡至於S下方d處,屏幕I置於凸透鏡的焦點處,若屏幕II上暗線間相隔0.9 mm,則當狹縫與平面鏡相距60 cm 時,光源狹縫S與平面鏡垂直距離d為___________
24.當一頻率 ?的光子散射後,其波長變2倍且與原方向成90°,散射出去,若電子質量m,則電子獲得動能為___________ (已知光速為c,普朗克常數為h)
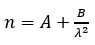
25.法國科學家科西研究光研究光的色散時,提出一條經驗公式,即折射率n與波長 λ的關係,可以近似為 ,其中A、B為常數,其值隨介質而變。當波長為λ1、λ2的單色光,分別射入某介質,已知對應的折射率為n1、n2,求A的值為___________
1. 於鉛直面圓周運動單元中,關於探討在軌道軌道底部之臨界速度,才能順利完成一整圈鉛直圓周運動時,當學生提出以下問題:「當物體到達圓周軌道的頂部,為什麼速度不會是0,這樣從底部時,所有的動能轉換成位能就可以算出速度為」。
請指出學生的錯誤概念,並用一張板書說明正確的概念,可幫助這位學生有效釐清觀念、解決疑惑?
2. 氣體動力論的章節中,會跟同學談到密閉容器的壓力的微觀解釋,推導上會先以單一氣體分子在正方形密閉容器(邊長為L),並且以Vx速度撞向器壁,對於器壁造成的受力進行計算 ,請分析在教學時學生對於∆t的迷思是甚麼? 而面對這些迷思概念,請以文字(也可輔以畫圖)說明,你會如何引導並講解觀念,幫助這位學生理解?