所屬科目:教甄◆物理科專業
1.假設地球為密度均勻的正球體,半徑為R,質量為M,萬有引力常數為G,若忽略空氣阻力和地球自轉的影響,將一小球在水平地面上以速率,拋射仰角θ拋出,如圖所示,小球能到達距離地面的最大高度H為何?
2.一光纖管長L,光纖核心部分折射率為n₁,外殼部分折射率為n₂。光在真空中傳播速率為c,今以入射角α由真空射入核心,若入射光僅在光纖管核心部分傳播,則正弦值sinα須小於何值?
3.兩條長度固定為ℓ₁、ℓ₂,且質量可忽略不計的細繩,分別繫著質量為5m和m的質點,兩質點以相同的角速度繞同一鉛直線作水平等速圓周運動。已知重力加速度為g,兩繩的張力分別為T₁及T₂,兩繩與鉛直線夾角的正弦值分別是。兩細繩長度的比值為何?
4.如圖所示的電路,已知A、B、C、D、E五個電阻分別為10Ω、5Ω、5Ω、10Ω、5Ω,以克希何夫定則計算X和Y兩點間的等效電阻為何?
5.已知基本常數分別為:庫倫常數k、電子質量mₑ、基本電荷e、普朗克常數h、真空光速c。請利用波耳的氫原子模型及基本常數,推導出芮得柏常數(Rydberg constant)RH。
6.承上題,將這些基本常數的值代入後,波耳最初推導出的芮得柏常數的理論值,與實驗值約有0.05%的誤差。若假設原子核質量M,其他已知的基本常數不變,推導出修正後的芮得柏常數(Rydberg constant)RH。
7.如圖所示,輪軸不計質量,半徑分別為R及r,彈簧力常數k,另一端繫一質量m之木塊平衡後,將木塊拉下一小段距離後釋放,求木塊振動的週期為何?
8.三顆球A,B,C的質量分別為M,m,M,起初A,C靜止,而B以等速度v向右運動,並與C作一維彈性碰撞(三顆球在同一直線上),若整個運動過程中,只進行兩次碰撞,試問的範圍。
9.有一平行板電容器,內部為真空,兩個電極板的間距為d,每一個正方形電極板的長均為2d。電容器內沒有電場,只有垂直進入紙面的均勻磁場B。電子從電容器左端的正中央以初速V₀射入,其方向平行於電極板之一邊。電子的電荷以-e表示,質量以m表示,重力可不計。欲使電子不撞擊電極板,磁場B的大小有何限制?
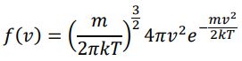
10.若理想氣體達成熱平衡時,其速率分布會遵守馬克士威-波茲曼分布,即
試問此理想氣體的平均速率<v>為何?
11.水波槽實驗中,兩同頻率且同相的點波源S₁、S₂,產生的水波波長為λ,兩者距離=5λ。水面上一點P與S₁的連線與垂直,則從S₁往P點方向前進,第3次碰到節點的位置,與S₁距離為何?
12.一條鐵鍊長度為x質量為m,上端懸吊在空中,其底端剛好接觸秤盤。若釋放鐵鍊讓它由靜止自由落下,則當頂端下降了距離的瞬間,磅秤的讀數為____mg。(重力加速度為g)
13.兩個完全相同的小鋼球A、B以一質量可忽略的均勻金屬桿連接在一起,兩球間的距離為L,球的半徑可忽略,起先將A球以細繩懸吊於空中,B球則靜置於光滑的水平面上,這時連桿與水平面的夾角為θ,今將細繩以火燒斷,當金屬桿的中心墜落至桌面(桿身視為平貼在桌面)時,試問此時A、B兩球瞬時速度各為多少?(A、B全對才給分)
14.某一顆地球的人造衛星質量為M,繞地球作軌道半徑為R、速率為v₀的圓周運動。若有一彗星,質量為m,沿著衛星運動的方向從後方撞上,並掉落在此衛星上。此過程可視為完全非彈性的一維碰撞,且衛星與地球之間的重力不影響彗星與衛星的碰撞,即在碰撞發生前衛星與彗星的速度量值不變。若碰撞後,此衛星並未脫離地球的重力場,則彗星的速度量值的最大值為何?答案以M、m、v₀表示。
15.體積V相當大、絕熱良好的剛性容器上有一小孔可供開、閉之用。容器內原為真空,今利用一分子速度選擇器將0.001莫耳、速度v₀的某惰性氣體分子經由小孔注入容器內,接著再注入0.002莫耳、速度為2v₀的該氣體分子,然後將小孔關閉。已知該氣體每莫耳的質量為M克,R為理想氣體常數。在氣體達到平衡後,請問器壁上的壓力為何?
16.已知聲速為340 m/s,無風時,一靜止的聲源對準一個以10.0 m/s向聲源接近的運動體,發射頻率為5000 Hz的聲波。部分的聲波被運動體反射回來,計算裝設在聲源處的偵測器測得反射波的頻率約為多少Hz?
1.試說明德布羅意(Louis de Broglie)如何利用物質波理論,推導並解釋波耳氫原子模型中的『角動量量子化』假設。
2.試從單一氣體分子撞擊容器壁的力學分析開始,證明理想氣體的氣體分子平均動能。
3.試證明在光的干涉現象(楊氏雙狹縫實驗)中,相鄰兩條亮紋中線的間距為Δy=(雙狹縫至屏幕的距離L、入射光波長λ、雙狹縫的間距d)。
4.假設一顆質量為m的行星,繞行質量為M的恆星作橢圓軌道運動,且其軌道的半長軸為a。試證明該系統的總力學能為。
5.簡要說明康普頓散射實驗,並說明其物理意義。
6.在歐姆定律與電路的實驗中,若採用『安培計內接法』測量電阻值,試證明其待測電阻的測量值(實驗值)Rexp為待測電阻真實值Rx與安培計內電阻RA之和,即Rexp=Rx+RA。
7.(1)物體經薄透鏡成像時,物距p、像距q、和焦距f三者之間有一簡單的數學關係:
上式稱為薄透鏡公式(thin lens formula)。繪圖及推導此薄透鏡公式。
(2)兩個點光源S₁、S₂間的距離為24 cm,使用焦距為9 cm的薄透鏡L,垂直放置於兩點光源S₁、S₂的連線上並調整位置,使兩個點光源成像於同一位置,則兩點光源S₁、S₂到透鏡的距離比為何?
8.(1)分別說明原子核的衰變與放射性的含意。
(2)以放射性元素X(母核)經一次β衰變後的方程式為例,寫出碳14衰變成氮14的方程式。
9.(1)利用必歐-沙伐定律(Biot-Savart Law),若一半徑為R、通有電流I的圓環導線,μ₀為真空的磁導率(magnetic permeability),試推導通上電流的圓線圈中心點O的磁場,其值為B=。
(2)兩半徑皆為R的單匝圓形線圈組合成亥姆霍茲(Helmholtz)線圈,軸線重合,通上同方向電流I。如果兩線圈面的距離亦為R,兩線圈中點P的磁場量值為何?