所屬科目:教甄◆物理科專業
1. 以速度v飛行的子彈先後穿透兩塊由同種材料製成的平行放置的固定金屬板,若子彈穿透兩塊金屬板後的速度分別變為0.8v和0.6v,若子彈在兩塊金屬板中的摩擦力相等,則兩塊金屬板的厚度之比為 (A)1:1 (B)9:7 (C)8:6 (D)16:9
2. 粒子直線加速器的裝置簡如圖 1:離子源、5 個中央挖孔的等間距(間距=d)的金屬板,並接上交流電源。一靜止的負電離子(電量?,質量 m)預備從 A 板中央孔洞開始加速;到達 B 板中央孔洞後,交流電源立刻切換正負電壓,使 A、C、E 板改正電,B、D 板帶負電,使負電離子持續在 B、C 電板間加速運動。重複以上方式,可使負電粒子在 A、E 之間維持加速狀態且任相鄰兩板間的電場量值恆為E。若帶電粒子到達 B 板的速率為v1、C 板的速率為v2、D 板的速率為v3、E 的速率為v4 下列何者正確?(A) v1: v2: v3: v4 = 1: 2: 3: 4 (B)v1: v2:v3:v4 = 1: 4: 9: 16 (C) v1: v2:v3: v4 = 1: (D) v1: v2: v3: v4 = 1: 3: 5: 7
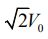
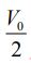
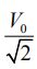
3. 假定一質點自地球表面拋出而脫離地球重力場,其脫離速率為 V0,若將此質點先送至離地球中心為地球半徑 2 倍之高處靜止,則此時此質點之脫離速率為(A)2 V0 (B)(C)(D)
1. 如圖 2 所示,從傾角為?的斜坡頂端以初速度v0水平拋出一小球,不計空氣阻力,設斜坡足夠長,則小球拋出離開斜坡的最大距離H是多少?
2. 科學家常用 X-射線繞射來測知晶體結構,若將波長為λ的 X-射線改用電子束取代,並進行相同晶體的繞射實驗,以測得相同的繞射圖樣, 則電子的能量為_________ 。(ℎ為普朗克常數,m 為電子質量)
3. 一質量為 m、半徑為 R 的圓環開始時以角速度ω₀ 繞其中心軸轉動,若將此環放置於一摩擦係數為?的水平長桌面上,試求此圓環在桌面上達純滾動圓環之動能為____________ 。
4. 紫外線波長 3500 埃會破壞皮膚分子的化學鍵結,導致皮膚曬傷,今有波長 3500 埃、總能量 336 焦耳的紫外線所含的光子總數約為________個。
5. 一均勻磁場 B 垂直進入紙面,一長度為 的細金屬棒平放在紙面上,並以相等的速率 v,夾 30°朝前方向運動,如圖 3 所示,則:圖 3 中,金屬棒兩端的感應電動勢為__________ 。
三、 簡答題(2 題,每題 4 分,共 8 分)1. 波耳的氫原子模型假設及缺陷
2. 原子軌域模型
四、 計算題及申論題(6 題,每題 10 分,共 60 分) 1. 在一個橫截面積為 S 的密閉容器中,有一個質量為 m 的活塞把容器中 的氣體分成兩部分。活塞可在容器中無摩擦地滑動,當活塞處於平衡時,活塞兩邊氣體的溫度相同,壓力均為 p,體積分別為 V1和 V2,如圖 4 所示。現用某種方法使活塞稍微偏離平衡位置後放開,則活塞將在兩邊氣體的壓力作用下來回運動。整個系統可看作是恆溫的。求活塞的運動週期。(用 p、V1、V2、m 和 S 表示)(10 分)
2. 如圖 5 所示,一汽車在一彎道上行駛,速率為v ,彎道的水平曲率半徑為R,路面外高內低,傾角為θ,重力加速度為g。若汽車輪胎與路面之間的靜摩擦係數為μs,要確保汽車無側向滑動,汽車在此彎道上行駛的速率?的範圍應是?(10 分)
3. 請以高中物理課堂為情境,示範你會如何在教學中引導學生理解並推導光的單狹縫繞射現象中的明暗紋形成條件與其對應的公式。請說明你的教學步驟、圖像輔助或概念鋪陳方式。(10 分)
(1) 矩形線圈 ABCD 所包含的磁通量(6 分)
(2)若直導線之電流 i 隨時間t遞增,i = kt2,k為常數,則矩形線圈內的感應電流爲何?(4 分)
5. 108 課綱使得自然科有探究實作課程,教育部也用數位精進計畫補助學校購置數位教學設備,請以探究實作課程授課教師角度規劃,最多約 4 週、每週兩節(50 分鐘×2=100 分鐘),共 8 節的實驗數據分析微課程。學校教學硬體設備:數位化物理實驗室一間,提供數位黑版、單槍、電腦、無線網路;每位學生均可使用 10 吋小筆電(Windows or Chromebook),可上網。學生亦可自行攜帶筆電/平板電腦。請詳細列出每周教學主題、活動內容及實施方式(10 分)
6. 新課綱高三新增認識電磁波實驗。請述電磁波實驗目的/儀器/項目,如何操作得知電磁波為橫波。並簡單設計電磁波實驗教案引導學生自主學習活動。(10 分)