所屬科目:國營事業◆自動控制
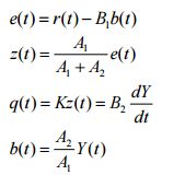
第一題: 捲菸製造系統擬加入一伺服系統,其輸入為 r(t) ,而輸出為 Y(t) ,且各元件關係如下所 示:試求代表本系統之微分方程式【15分】,並判斷系統之階數【5分】與是否為線性【5分】。
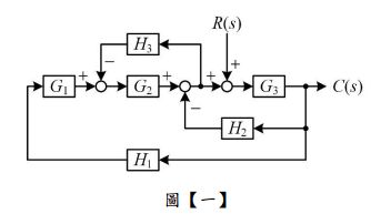
第二題: 控制系統的方塊圖,如圖【一】所示,求此控制系統之輸出-入轉移函數(input-output transfer function)【25分】
(一)試求此控制系統之轉移函數。【5分】
(三)請列出狀態變數之矩陣形式。【10分】
第四題: 如圖【二】所示回授控制系統,圖中之,試利用奈奎氏準 則,求閉路系統為穩定的k值範圍。【25分】