阿摩線上測驗
登入
首頁
>
技師◆結構動力分析與耐震設計
> 107年 - 107 專技高考 結構動力分析與耐震設計#72933
107年 - 107 專技高考 結構動力分析與耐震設計#72933
科目:
技師◆結構動力分析與耐震設計 |
年份:
107年 |
選擇題數:
0 |
申論題數:
6
試卷資訊
所屬科目:
技師◆結構動力分析與耐震設計
選擇題 (0)
申論題 (6)
⑴假設線性黏性阻尼器所提供之系統阻尼比為 5%,試求 C 值。(15 分)
⑵依⑴之假設,若此剪力屋受地震激發,其 5%阻尼比加速度彈性反應譜 S
a
表為
上式中 T 為結構週期(sec),g = 9.8 m/sec
2
。試求單層剪力屋相對於地 表之最大水平位移與阻尼器之最大出力。(10 分)
⑴試由Spv = T ⋅ Spa 2π 及Spv = 2π ⋅ Sd T 推導及說明Spa − Spv − Sd −T 三軸座標系 統的建置原理。(15 分)
⑵試詳細說明交通部「公路橋梁耐震設計規範」設計地震反應譜(如表)之型 式與Newmark 三軸向地震設計反應譜a − b − c − d − e − f 的關聯性。(10 分)
三、試由內政部「建築物耐震設計規範及解說」之地震力豎向分配與結構動 力學之地震力豎向分配的比較,詳細說明為何「建築物耐震設計規範及 解說」中規定:建築物具勁度立面不規則性(軟層)或質量不規則性時, 須進行動力分析。(25 分)
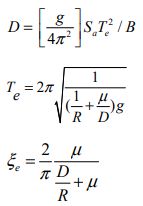
四、一隔震結構其上部結構假設為剛體,而設計水平譜加速度係數表示為: 「 0.8 , S
a
= 0.48/T S
a
≤ ,T = 結構週期」。隔震系統之設計目標訂為:設 計位移 D = 25 cm,傳遞設計水平加速度 A = 0.08 g,g = 980 cm/sec
2
。若 隔震系統採用摩擦單擺支承(friction pendulum bearing),試求隔震支承 之曲率半徑 R 及摩擦係數 μ。(25 分)
提示:
相關試卷
114年 - 114 專技高考_結構工程技師:結構動力分析與耐震設計#133722
114年 · #133722
113年 - 113 專技高考_結構工程技師:結構動力分析與耐震設計#123965
113年 · #123965
112年 - 112 專技高考_結構工程技師:結構動力分析與耐震設計#117673
112年 · #117673
111年 - 111 專技高考_結構工程技師:結構動力分析與耐震設計#111962
111年 · #111962
110年 - 110 專技高考_結構工程技師:結構動力分析與耐震設計#104229
110年 · #104229
110年 - 110 公務升官等考試_薦任_結構工程:結構動力分析與耐震設計#103465
110年 · #103465
109年 - 109 專技高考_結構工程技師:結構動力分析與耐震設計#93293
109年 · #93293
108年 - 108 專技高考_結構工程技師:結構動力分析與耐震設計#80691
108年 · #80691
108年 - 108 公務人員升官等公務簡任_結構工程:結構動力分析與耐震設計研究#80529
108年 · #80529
106年 - 第二次專技高考/結構動力分析與耐震設計#66490
106年 · #66490