阿摩線上測驗
登入
首頁
>
技師◆結構動力分析與耐震設計
> 112年 - 112 專技高考_結構工程技師:結構動力分析與耐震設計#117673
112年 - 112 專技高考_結構工程技師:結構動力分析與耐震設計#117673
科目:
技師◆結構動力分析與耐震設計 |
年份:
112年 |
選擇題數:
0 |
申論題數:
11
試卷資訊
所屬科目:
技師◆結構動力分析與耐震設計
選擇題 (0)
申論題 (11)
(一)推導運動方程式。
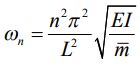
(二) 證明第n個模態之模態頻率為
,且模態函數為
。
(三)求第 n 個模態的模態載重函數。
(一)求質量矩陣、勁度矩陣、各振態頻率、振態向量、振態質量、振態勁度、振態參與因子。
(二)假設依工程設計規範規定,自然頻率為 1Hz 和 5Hz 時的阻尼比應該是 0.03 及 0.05,又規定採用 Rayleigh Damping:C=αM+βK。試求其係數 α 及 β,並求本結構第一振態的阻尼比。注意,公式中的頻率單位應該 轉換為角頻率,而非 Hz。
(一)隔震裝置為何必需具備足夠消能能力?試舉出至少兩種具備有消能 能力的隔震裝置。
(二)隔震設計採用靜力分析法的適用條件為何?至少列舉 3 項。
(三)已知一隔震系統上結構總靜載重為 5000 KN,在設計位移為 0.4 m 下之有效勁度為 1000 KN/m,且其在設計位移下之遲滯迴圈面積為 50 KN-m。試求在設計位移下的有效震動週期和等效阻尼比。
(四)隔震建築設計詳細要求中,對於抗傾倒的要求方面,需考慮最大傾倒 力矩為何?抗傾倒力矩為何?其理由為何?
(一)試求如圖 a~c 所表現的三種遲滯迴圈特性的消能器分別在外力頻率為2π rad/sec、4π rad/sec 作用下,振幅分別為 0.01 m,0.02 m 時的等值線性黏滯阻尼比(共計十二種組合)。圖 a 及圖 b 為橢圓形遲滯迴圈,圖 c 為矩形遲滯迴圈,且圖 a 中的符號ω表示振動頻率,所有力量單位為 N,質量單位為 kg,長度單位為 m。(15 分)
(二)詳細說明最新建築物耐震設計規範中建築物使用消能減震技術的數量以及安裝位置及消能器所能承受力量與位移之規定,並說明其規定 用意。(10 分)
相關試卷
114年 - 114 專技高考_結構工程技師:結構動力分析與耐震設計#133722
114年 · #133722
113年 - 113 專技高考_結構工程技師:結構動力分析與耐震設計#123965
113年 · #123965
111年 - 111 專技高考_結構工程技師:結構動力分析與耐震設計#111962
111年 · #111962
110年 - 110 專技高考_結構工程技師:結構動力分析與耐震設計#104229
110年 · #104229
110年 - 110 公務升官等考試_薦任_結構工程:結構動力分析與耐震設計#103465
110年 · #103465
109年 - 109 專技高考_結構工程技師:結構動力分析與耐震設計#93293
109年 · #93293
108年 - 108 專技高考_結構工程技師:結構動力分析與耐震設計#80691
108年 · #80691
108年 - 108 公務人員升官等公務簡任_結構工程:結構動力分析與耐震設計研究#80529
108年 · #80529
107年 - 107 專技高考 結構動力分析與耐震設計#72933
107年 · #72933
106年 - 第二次專技高考/結構動力分析與耐震設計#66490
106年 · #66490