所屬科目:技師◆結構動力分析與耐震設計
(二)已知此單自由度結構系統的質量為104 kg,其阻尼比可由(一)計算得知, 此結構系統如受到下圖所示的載重作用,其最大位移為何,請說明計算原理?
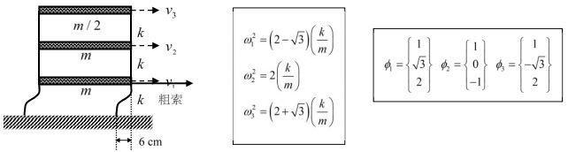
三、有一三層樓建築物進行自由振動實驗,此實驗係利用粗索在一樓向右拉 位移 6 cm,隨後突然完全放開。樓地版假設為剛性,結構性質如圖所示, 包括每層質量,每層勁度,振動頻率 及振態 ,i = 1, 2,3。試求頂層(三 樓)的層間剪力。(採階段性計分)