所屬科目:技師◆結構動力分析與耐震設計
二、假設某筆地震紀錄在結構阻尼比為 0.05 下之加速度反應譜如下: 其中, g = 9.8 m/sec2 。一個三自由度平面剪力建築,已知各樓層的質量都相等,其振態參數如下表所示: 若依某設計規範要求,估計最大反應時需考量累積有效振態質量至少為95%結構總質量的低頻振態反應之貢獻合。試以最少的振態數量估算本結構頂樓的最大位移反應。其中,以 SRSS 法估算振態疊加最大反應。(25分)
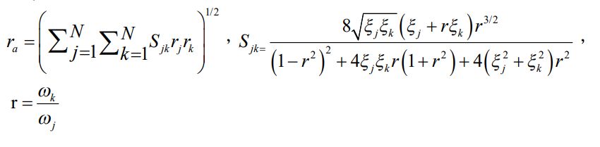
三、有一個五自由度結構,各樓層質量均相等,各振態阻尼比都等於 0.03。 若其振態頻率、振態向量以及地震譜位移皆為已知: 振態頻率(Hz): 振態向量:地震譜位移:若設計規範要求必須考慮累積有效振態質量比達95%以上,則最少應採 計多少個振態反應?接著請分別以 SRSS(Square Root of Square Sum Method)及 CQC(Complete Quadratic Combination Method)法估計頂樓 最大位移為何?(25分)參考公式:
⑴考量建物 50 年設計年限,三種地震對應的年超越機率為何?其結構分別應該達到何種性能(破壞程度)?此規定的目的為何?這三個地 震力的大小次序一定是嗎?為什麼?(10 分)