所屬科目:流體力學
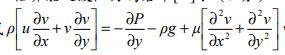
⑶由 Navier-Stokes 方程式,設定 參考速度 V,參考壓力 p0,參考長度l和參考時間τ等,將 u、v、p、x、 y 無因次化,例如 u*=u/V 等。分析影響船隻航行阻力係數(drag coefficient)之無因次函數群。(10 分)