所屬科目:教甄◆數學
2、在直角坐標平面上,下列敘述何者正確? (A)直角坐標平面上任一點必落在四個象限中的其中一個 (B)如果 a+b<0,則(a,b)在第三象限 (C)如果 A、B 兩點的 x 坐標相同,則 A、B 兩點會在同一條水平線上 (D)如果點 在 y 軸上,那麼 m = 0
3、小柯以代入消去法解二元一次聯立方程式 ,計算步驟如下:
請問小柯從哪一個步驟開始出錯了?(A)步驟一 (B)步驟二 (C)步驟三 (D)步驟四
4、若 x > y 、m > n ,請選出正確的選項﹕ (A) (B)(C)(D)
5、下圖為7個正方形紙板緊密地拼成長方形ABCD的方式。求 = ? (A)12:19 (B)21:13 (C) :1 (D)( +1):2
6、如下圖,梯形ABCD中, 為其中線,若四邊形AEFD與四邊形EBCF的面積比為3:8,則 的比 是多少? (A)1:11 (B) 1:16 (C) 1:21 (D)1:26
7、如下圖,L與M不平行,已知A、B、C三點在直線L上,D、E、F、G四點在直線M上,且 ,則下列敘述何者錯誤? (A) △AEB~△BFC (B)△ADE~△FCB (C)△BEF~△CFG (D)△ADE~△CFG
8、下圖為二次函數 y=ax2-4x+2a-7 的圖形,其與 x 軸相切,則此圖形的 A 點坐標為何? (A) ( , 0 ) (B) (- , 0 ) (C) ( 4 , 0 ) (D) (-4, 0 )
9、給定二次多項式﹐已知多項式 除以 f (x) 其餘式為 ﹐多項式x3+x2-x-1除以其餘式為4x+1,請選出正確的選項: (A) a = 3 (B) b =-1 (C) 方程式 無實根 (D) 的最小值為
10、設 A、B 為樣本空間中的兩個事件,已知 P[A]= P[B] = 0.7,請選出正確的選項: (A) (B)(C) (D)A、B 是獨立事件
11、設A(5, −1),B(1, 2),C(−3, 4),D(9, a)為坐標平面上的點。今以符號 表示通過 P 、Q 兩點的直線斜率,下 列選項何者正確? (A) A,B ,C 三點共線 (B) 若,則 a =-5 (C) 若 A,B ,D 三點共線,則 a =-2 (D) 若,則 a = 4
12、若平面 過點 A(1﹐-2﹐1),且與二平面 及 均垂直,則下列何者正確? (A) a = 2 (B) b =-2 (C) c = 3 (D) a+b+c=0
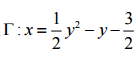
13、關於拋物線的敘述,下列選項哪些正確? (A)頂點(B)準線的方程式: y =1 (C)對稱軸的方程式:(D)
16、在簡化運算過程中,學生經常使用的運算性質包括:交換律、結合律與分配律。以下,為一位教師引導學童解 下面四則運算問題的過程:請問:教師利用了那些運算性質來引導學童進行解題? (A) 只有結合律 (B) 只有分配律 (C) 只有結合律和分配律 (D) 結合律、交換律與分配律
19、有四位學童對於三個分數 等值的解釋如下:
甲、將這三個分數通分以後,結果都是 ,所以它們都相等。
乙、將這三個分數約分以後,結果都等於,所以它們都相等。
丙、6:10、9:15、18:30 的比值都是 ,所以它們都相等。
丁、用圖形表示三個分數時,切割的份數雖然不同,但表示的量都一樣,所以它們都相等。
請問上述四位學童的說明,他們所代表的分數學習時程先後順序為何? (A)甲→乙→丁→丙 (B)丁→甲→乙→丙 (C)丁→丙→甲→乙 (D)丁→乙→甲→丙
23、下列哪一個數的絕對值最接近1? (A) (B) (C) (D)
24、問等於下列哪一個分數? (A) (B) (C) (D)
26、鐘面上三點半時,時針和分針夾角弳度為 (A)(B)(C)(D)
27、若某一圓的半徑為1單位長,其圓內接正六邊形的面積是幾平方單位?(A)(B)(C)(D) 6
28、下列何者正確?(A)(B)(C)(D)
35、求級數=?(A)(B)(C)(D)