所屬科目:高等鋼筋混凝土學與設計
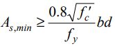
一、現行規範規定:矩形斷面最小受撓鋼筋面積 ,亦不得 小於 bd 。請說明, bd f f ' y c 0.8 是如何訂出?其中,b 為矩形斷面寬度, h 為矩形斷面深度,d 為拉力筋之有效深度。推導時以矩形單筋斷面為 例,取 h = 1.1 d,jd = 0.95 d,jd 為斷面拉力與壓力間之力臂,混凝土開 裂模數。(25 分)
二、如下圖之柱斷面(37.5 cm × 50 cm),配置 6-D32 鋼筋( fy = 4200 kgf/cm2 , Ab = 8.143 cm2 ),混凝土 f ' c = 280 kgf/cm2 。受一組極限狀況下之軸力 Pu 與彎矩 Mu,使得拉筋應力達 0.5 fy,請計算 Pu、Mu為何?注意:鋼筋降 伏應變 εy = 0.002,混凝土極限應變 εcu = 0.003。(25 分)