所屬科目:高等鋼筋混凝土學與設計
一、如下圖所示之矩形梁,此梁承受均佈靜載重(含自重) = 1.5 tf/m,均 佈活載重 = 1.5 tf/m,以及集中活載重 =10 tf。若忽略壓力筋對斷 面強度之影響,並使用極限強度設計法,試求 A 斷面處所需之軸向鋼筋量。(25 分)
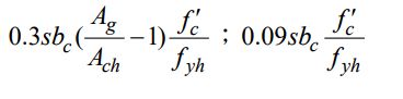
二、一鋼筋混凝土矩形柱(如圖示),配置 18 支 D25 主筋及 D13 橫箍筋, 淨保護層為 4 cm。試依耐震設計規定,設計柱端所需設置之緊密圍束箍筋。(25 分) 參考公式:
三、如下圖所示之連續梁,試依據現行規範有關耐震設計之規定,檢核 A-A 斷面之撓曲鋼筋量及剪力鋼筋間距是否符合規定?(25 分)
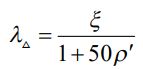
(四)依據 ACI 規範,混凝土潛變對構件長期撓度之影響應使用下式之計 算:請說明,若靜載所致之瞬時撓度為△,則長期撓度為何?以及ρ'之定 義與作用。(7 分)