所屬科目:技檢◆測量-工程測量-甲級
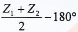
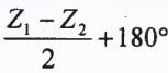
25. 垂直度盤為天頂距式之經緯儀中,如用其正鏡測得天頂距讀數為 Z1,倒鏡時同一目標讀數為 Z2。 則平均之天頂距 Z 應為(A) (B) (C) (D)。
51. 1 平太陽日等於多少恆星日?(A)(B) (C) (D) 。
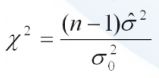
53. 假設某一變形監測網,某單位一直使用甲廠牌經緯儀進行監測,其測角變方為 20 秒 ,因故欲改採乙廠牌經緯儀進行監測。為檢驗此兩種廠牌經緯儀的測角精度是否有顯著差別?按相同操作規 範由乙廠牌經緯儀觀測 25 測回,得測角中誤差為 4.3 秒,請計算統計測試所需之統計量 (,n-1 為自由度、 為已知變方、 代為樣本變方)為(A)22.2(B)21.2(C)25.9(D)23.1。
62. 如下圖所示,導線測量之橫距閉合差 ,縱距閉合差,邊長,,下列敘述哪些正確?
72. 如下圖所示,一附合導線,已知方位角"、,觀測水平角∠AB1=79° 00'15"、∠B1C=268°00'20"、∠1CD=87°00'25",折角閉合差之規範為30''√N ,下列敘述哪些正確?
(A)折角閉合差為 45"(B)折角閉合差之規範要求為 52"(C)折角閉合差改正後 (D)折角閉 合差改正後∠AB1=79°00'10"。
74. A、B、C 三點之間進行水準測量,已知 A 點高程為 100.000m 並測得=+1.000m(測線長 1km)、 =+2.000m(測線長 2km)、=-3.012m(測線長 3km),則下列敘述哪些正確?(A)改正後 A 點 高程應為 99.998m(B)閉合差為 -0.012m(C)改正後 C 點高程應為 103.004m(D)改正後 B 點高程應為 1 01.002m。