阿摩線上測驗
登入
首頁
>
技檢◆測量-工程測量-甲級
> 114年 - 04202 測量─工程測量 甲級 工作項目 03:空間資訊 51-84(2025/10/28 更新)#132647
114年 - 04202 測量─工程測量 甲級 工作項目 03:空間資訊 51-84(2025/10/28 更新)#132647
科目:
技檢◆測量-工程測量-甲級 |
年份:
114年 |
選擇題數:
34 |
申論題數:
0
試卷資訊
所屬科目:
技檢◆測量-工程測量-甲級
選擇題 (34)
51. 航空攝影測量之流程包含( A )航空攝影、( B )立體製圖、( C )空中三角測量、( D )地面控制點佈標及測量,其先後順序為 (A)ABCD (B)DACB (C)ACDB (D)DCBA 。
52. 傳統正射影像是 (A)只依地表高度修正投影誤差,未修正樓房頂部投影誤差 (B)只修正樓房頂部投影誤差,未依地表高度修正投影誤差 (C)依地表高度修正投影誤差,並修正樓房頂部投影誤差 (D)只修正傾斜位移誤差,未依地表高度修正投影誤差,亦未修正樓房頂部投影誤差 。
53. 真實正射影像是 (A)只依地表高度修正投影誤差,未修正樓房頂部投影誤差 (B)只修正樓房頂部投影誤差,未依地表高度修正投影誤差 (C)依地表高度修正投影誤差,並修正樓房頂部投影誤差 (D)只修正傾斜位移誤差,未依地表高度修正投影誤差,亦未修正樓房頂部投影誤差 。
54. 直接地理定位系統可由慣性導航儀與 GPS 接收儀組成,可提供哪些觀測量? (A)平移與旋轉共 6 個參數 (B)僅平移之 6 個參數 (C)僅平移之 3 個參數 (D)僅旋轉之 3 個參數 。
複選題
55. 有關攝影測量,下列敘述哪些正確? (A)攝影測量可定義為以攝影或其他感測器記錄,並經由量測或判讀等處理程序,以獲得空間資訊的科學及技術 (B)攝影測量之作業程序可分為攝影、量測影像及處理量測資料等階段 (C)像片判讀(Photograph Interpretation)是對所獲取之影像進行量測,並經處理以獲得地面點位之坐標等空間資訊 (D)類比法攝影測量(AnalogPhotogrammetry)是利用立體製圖儀量測類比像片以繪製地形圖;而數值攝影測量(Digital Photogrammetry)亦是直接在類比像片上量測像片坐標,但以數位方式求解 。
複選題
56. 有關攝影測量,下列敘述哪些正確? (A)量度的攝影測量(MetricPhotogrammetry)是對所獲取之影像進行量測,並經處理以獲得地面點位之坐標等空間資訊 (B)數值攝影測量(Digital Photogrammetry)是量測及處理數位影像,而非類比像片 (C)攝影測量可分為航空攝影測量、地面攝影測量及近景攝影測量等攝影方式,其中近景攝影測量是指相機與被攝物體之距離在 500 公尺至 1000 公尺之間 (D)相機之光圈是以改變直徑大小來控制透鏡之光量,若透鏡焦距為 f,光圈設定 f/4 時通過之光量是 f/8時之 4 倍 。
複選題
57. 有關攝影測量,下列敘述哪些正確? (A)相機之光圈是以改變直徑大小來控制透鏡之光量,若透鏡焦距為 f,光圈設定 f/8 時通過之光量是 f/4 時之 2 倍 (B)空中三角測量可根據像點之坐標以決定點位之地面坐標 (C)光束法區域平差通常採用線性化之共線式 (D)光束法區域平差時每一個像點有三個觀測方程式 。
複選題
58. 有關攝影測量,下列敘述哪些正確? (A)空中三角測量通常是由像點組成三角形,根據內角以決定點位之地面坐標 (B)光束法區域平差時每一個像點有二個觀測方程式 (C)光束法區域平差可求解像片之外方位元素 (D)像片之外方位元素包含像片之方位及相機投影中心之位置 。
複選題
59. 有關攝影測量,下列敘述哪些正確? (A)相機率定後可求解其內方位元素(B)空間後方交會可求解像片之外方位元素 (C)空中三角測量之光束法區域平差可求解像片之外方位元素及連接點(Tie Point)之地面坐標 (D)當每張影像具有外方位元素後,可採用空間前方交會方式求解地物點之地面坐標 。
複選題
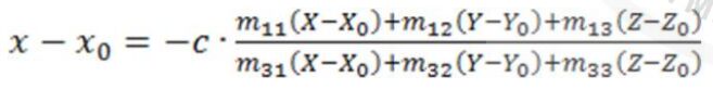
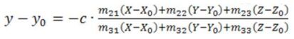
60. 攝影測量之共線式:
,公式中 x、y 為像點坐標,x
0
、y
0
為像主點之偏移量,X、Y 及 Z 為地面點坐標,x
0
、y
0
及 Z
0
為相機投影中心坐標,c 為相機的焦距,m
11
、m
12
、…、m
33
為以ω、ψ及 k 三個旋轉角為獨立參數的三維正交旋轉矩陣內的九個元素。在共線式中,下列哪些屬於內方位? (A)x
0
、y
0
(B)X
0
、Y
0
及 Z
0
(C)c (D)ω、ψ及 k 。
複選題
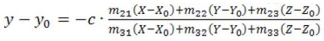
61. 攝影測量之共線式:
,
,公式中 x
0
、y
0
為像點坐標,x
0
、y
0
為像主點之偏移量,X、Y 及 Z 為地面點坐標,x
0
、y
0
及 Z
0
為相機投影中心坐標,c為相機的焦距,m
11
、m
12
、…、m
33
為以ω、ψ及 k 三個旋轉角為獨立參數的三維正交旋轉矩陣內的九個元素。在共線式中,下列哪些屬於外方位? (A)x
0
~、y
0
(B)X
0
、Y
0
及 Z
0
(C)c (D)ω、ψ及 k 。
複選題
62. 攝影測量之共線式:
,公式中 x、y 為像點坐標,x
0
、y
0
為像主點之偏移量,X、Y 及 Z 為地面點坐標,x
0
、y
0
及 Z
0
為相機投影中心坐標,c 為相機的焦距,m
11
、m
12
、…、m
33
為以ω、ψ及 k 三個旋轉角為獨立參數的三維正交旋轉矩陣內的九個元素。若將共線式線性化應用於空間後方交會,下列哪些正確? (A)x
0
、y
0
在率定後通常為已知值 (B)X
0
、Y
0
及 Z
0
通常為待求值 (C)x、y 為待求值 (D)ω、ψ及 k 通常為已知值 。
複選題
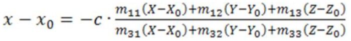
63. 攝影測量之共線式:
,
,公式中 x、y 為像點坐標,x
0
、y
0
為像主點之偏移量,X、Y 及 Z 為地面點坐標,x
0
、y
0
及 Z
0
為相機投影中心坐標,c 為相機的焦距,m
11
、m
12
、…、m
33
為以ω、ψ及 k三個旋轉角為獨立參數的三維正交旋轉矩陣內的九個元素。若將共線式線性化應用於空間後方交會,下列哪些正確? (A)c 在率定後通常為已知值 (B)X、Y 及 Z 通常為已知值 (C)x、y 為觀測值 (D)ω、ψ及 k 通常為待求值 。
複選題
64. 攝影測量之共線式:
,公式中 x、y 為像點坐標,x
0
、y
0
為像主點之偏移量,X、Y 及 Z 為地面點坐標,x
0
、y
0
及 Z
0
為相機投影中心坐標,c 為相機的焦距,m
11
、m
12
、…、m
33
為以ω、ψ及 k 三個旋轉角為獨立參數的三維正交旋轉矩陣內的九個元素。若將共線式線性化應用於空間三角測量之光束法區域平差,下列哪些正確? (A)x
0
、y
0
在率定後通常為已知值 (B)X
0
、Y
0
及 Z
0
通常為待求值 (C)x、y 為觀測值 (D)ω、ψ及 k 通常為已知值 。
複選題
65. 攝影測量之共線式:
,公式中 x、y 為像點坐標,x
0
、y
0
為像主點之偏移量,X、Y 及 Z 為地面點坐標,x
0
、y
0
及 Z
0
為相機投影中心坐標,c 為相機的焦距,m
11
、m
12
、…、m
33
為以ω、ψ及 k 三個旋轉角為獨立參數的三維正交旋轉矩陣內的九個元素。若將共線式線性化應用於空間三角測量之光束法區域平差,下列哪些正確? (A)c 在率定後通常為已知值 (B)全控點之 X、Y 及Z 通常為已知值 (C)X
0
、Y
0
及 Z
0
通常為觀測值 (D)ω、ψ及 k 通常為待求值 。
複選題
66. 攝影測量之共線式:
,公式中 x、y 為像點坐標,x
0
、y
0
為像主點之偏移量,X、Y 及 Z 為地面點坐標,x
0
、y
0
及 Z
0
為相機投影中心坐標,c 為相機的焦距,m
11
、m
12
、…、m
33
為以ω、ψ及 k 三個旋轉角為獨立參數的三維正交旋轉矩陣內的九個元素。若將共線式線性化應用於空間前方交會,下列哪些正確? (A)x
0
、y
0
在率定後通常為已知值 (B)X
0
、Y
0
及 Z
0
通常為待求值 (C)X、Y 及 Z 通常為已知值 (D)ω、ψ及 k 通常為已知值 。
複選題
67. 攝影測量之共線式:
,
,公式中 x、y 為像點坐標,x
0
、y
0
為像主點之偏移量,X、Y 及 Z 為地面點坐標,x
0
、y
0
及 Z
0
為相機投影中心坐標,c 為相機的焦距,m
11
、m
12
、…、m
33
為以ω、ψ及 k 三個旋轉角為獨立參數的三維正交旋轉矩陣內的九個元素。若將共線式線性化應用於空間前方交會,下列哪些正確? (A)c 通常為未知值 (B)X、Y 及Z 通常為未知值 (C)x、y 為觀測值 (D)X
0
、Y
0
及 Z
0
通常為已知值 。
複選題
68. 有關移動式測繪系統(Mobile Mapping System)之敘述,下列哪些正確?(A)相對於傳統攝影測量方法須佈設足夠數量且分佈良好之地面控制點,再以空中三角平差解算影像外方位參數,移動式測繪系統可僅用少量控制點,甚至無控制點 (B)移動式測繪系統通常採用間接地理定位系統 (C)移動式測繪系統通常整合全球定位系統 (Global Positioning System,GPS)或慣性導航系統(Inertial Navigation System, INS)等多感測器以提供定位及定方位 (D)移動式測繪系統可同時採用多台數位相機或其他感測器 。
複選題
69. 有關移動式測繪系統(Mobile Mapping System)之敘述,下列哪些正確?(A)移動式測繪系統通常採用直接地理定位系統(Direct Geo-referencingSystem) (B)移動式測繪系統的工作步驟可分為率定、外方位解算及測繪,其中率定步驟包括各感測器本身之率定及系統率定 (C)系統率定包括求解各感測器彼此之間的相對空間關係 (D)若已經解算每張影像之外方位元素後,可採用空間後方交會方式求解地物點之像片坐標 。
複選題
70. 在 GIS 網格資料中,航測影像為一重要來源,有有關 GIS 軟體對於航測影像的讀取,常需要配合描述影像之通用坐標檔案(world file),方能正確讀取。有關 world file 的檔案,下列敘述哪些正確? (A)若有一航測影像之副檔名為 tif,則其相應的 world file 為 tfw (B)world file 內會提供x,y 之右下角坐標 (C)world file 內將提供 x,y 方向之解析度大小 (D)worldfile 內將提供 x,y 方向之旋轉角度 。
複選題
71. 假設有一航照影像,其影像為 a.jpg 檔,另有一通用坐標檔 a.jgw,a.jgw之檔案內容如下表,則下列敘述哪些正確?
(A)(a)及(d)為像元大小 (B)(b)及(c)為比例尺 (C)(e)及(f)為圖幅原點 (D)原點起算為圖幅右上角坐標 。
複選題
72. 我國為了整合全國地理資訊系統資源,目前設立了 TGOS 圖台,有有關TGOS 圖台,下列描述哪些正確? (A)本圖台之坐標系統為 TWD67 (B)在公家機關中若有圖資需要分享,可透過 WPS(Web Map Service)服務達成(C)圖台提供之地圖檔案,為圖磚式服務之影像圖檔 (D)可提供民眾申請進行加值應用 。
複選題
73. 我國的國土資訊系統資料建置,分為核心圖資以及基礎圖資,下列哪些為核心圖資? (A)地形圖 (B)數值地形模型 (C)都市計畫圖 (D)公共管線資料 。
複選題
74. 我國的國土資訊系統資料建置,分為核心圖資以及基礎圖資,下列哪些為基礎圖資? (A)地籍圖 (B)都市計畫圖 (C)數值地形模型 (D)地質資料 。
複選題
75. 有關 GIS 環域分析的操作,下列敘述哪些正確? (A)至少需要兩個圖層(B)需要給定分析距離 (C)點圖層跟線圖層間不能進行環域分析 (D)點圖層跟面圖層間不能進行環域分析 。
複選題
76. 有關我國國土資訊系統資料庫,下列敘述哪些正確? (A)分為八大資料庫(B)土地基本資料庫之召集單位為國土測繪中心 (C)基本地形圖資料庫之召集單位為內政部地政司 (D)社會經濟資料庫之召集單位為內政部統計處 。
複選題
77. 在 GIS 圖資糾正時常需要利用坐標轉換公式,有關坐標轉換,下列敘述哪些正確? (A)四參數轉換又稱正形(Helmert)轉換 (B)四參數轉換可以處理非正交坐標軸之轉換 (C)六參數轉換又稱仿射(Affine)轉換 (D)六參數轉換可以處理非正交坐標軸之轉換 。
複選題
78. 有有關六參數轉換(Affine transformation),下列敘述哪些正確? (A)可以處理正方形與平行四邊形間的轉換 (B)又稱為仿射(Affine)轉換 (C)六參數指的是 2 個平移量、兩個旋轉量、兩個尺度量 (D)可以處理坐標軸非正交之轉換問題 。
複選題
79. WMS(Web Map Service)、WFS(Web Feature Service)皆是由開放式地理資訊系統協會(Open Geospatial Consortium ,簡稱 OGC)所提出的網路服務標準,有關前二者,下列敘述哪些正確? (A)WMS 所提供的地圖可以進行編輯 (B)WMS 所提供檔案為電腦螢幕上的影像檔,如 PNG、GIF、JPEG (C)WFS 提供能夠在各種不同的作業平台上,直接透過標準網路呼叫取得地理圖徵的方法 (D)WFS 傳遞資料的標準格式為 GML(地理標記語言) 。
複選題
80. 有關空載 Lidar(光達)技術,下列敘述哪些正確? (A)僅可以獲得DSM(Digital Surface Model)資訊,無法獲得 DTM(Digital TerrainModel)資訊 (B)其定位瞬間的方位參數是利用立體航照影像求得 (C)須配合 GPS 與慣性導航儀等儀器 (D)可以求得 DBM(Digital BuildingModel) 。
複選題
81. 有關 GIS 的圖層套疊(Overlay)之操作,下列敘述哪些正確? (A)常配合環域分析一起操作 (B)圖層的坐標系統必須一致 (C)經套疊分析後,空間資料產生改變,但屬性資料不變 (D)網格資料套疊時,其網格解析度要調整一致 。
複選題
82. 有關 GIS 之位相關係(TOPOLOGY),下列敘述哪些正確? (A)僅存在於網格式資料格式 (B)可以了解線段間連結之情況 (C)不具有方向性 (D)可以了解多邊形間的相鄰情況 。
複選題
83. 有關行動地理資訊系統(Mobile GIS),下列敘述哪些正確? (A)不需要GPS (B)需要預先載入圖資 (C)常用來進行野外調查 (D)需要配合行動裝置使用 。
複選題
84. 台灣的詮釋資料標準草案,簡稱 TWSMP(TaiWan Spatial MetadataProfile),以 ISO 19115 詮釋資料標準之架構研擬而成。有關 TWSMP之目的,下列哪些正確? (A)為 XML 語言格式 (B)由使用者提供 (C)其資料內含有資料品質資訊 (D)其資料內含有資料產生時間 。
申論題 (0)
相關試卷
114年 - 04202 測量─工程測量 甲級 工作項目 05:變形測量 1-27(2025/10/28 更新)#132652
114年 · #132652
114年 - 04202 測量─工程測量 甲級 工作項目 04:應用測量 151-208(2025/10/28 更新)#132651
114年 · #132651
114年 - 04202 測量─工程測量 甲級 工作項目 04:應用測量 101-150(2025/10/28 更新)#132650
114年 · #132650
114年 - 04202 測量─工程測量 甲級 工作項目 04:應用測量 51-100(2025/10/28 更新)#132649
114年 · #132649
114年 - 04202 測量─工程測量 甲級 工作項目 04:應用測量 1-50(2025/10/28 更新)#132648
114年 · #132648
114年 - 04202 測量─工程測量 甲級 工作項目 03:空間資訊 1-50(2025/10/28 更新)#132646
114年 · #132646
114年 - 04202 測量─工程測量 甲級 工作項目 02:天文方位測量 1-54(2025/10/28 更新)#132645
114年 · #132645
114年 - 04202 測量─工程測量 甲級 工作項目 01:控制測量 201-247(2025/10/28 更新)#132644
114年 · #132644
114年 - 04202 測量─工程測量 甲級 工作項目 01:控制測量 151-200(2025/10/28 更新)#132643
114年 · #132643
114年 - 04202 測量─工程測量 甲級 工作項目 01:控制測量 101-150(2025/10/28 更新)#132642
114年 · #132642