阿摩線上測驗
登入
首頁
>
技檢◆測量-工程測量-甲級
> 114年 - 04202 測量─工程測量 甲級 工作項目 04:應用測量 101-150(2025/10/28 更新)#132650
114年 - 04202 測量─工程測量 甲級 工作項目 04:應用測量 101-150(2025/10/28 更新)#132650
科目:
技檢◆測量-工程測量-甲級 |
年份:
114年 |
選擇題數:
50 |
申論題數:
0
試卷資訊
所屬科目:
技檢◆測量-工程測量-甲級
選擇題 (50)
101. 坡度樁釘定測量時,先將水準儀置於適當之處,後視立於附近已知高程點之標尺,而求出視準軸高,然後將坡度樁釘入土中,將標尺立於樁頂,如水準儀在標尺上之讀數等於儀器高減去坡度線之高程時,則此點(A)為挖方 (B)為填方 (C)無法判定 (D)無挖填 。
102. 公路之平曲線以下何種較不適宜? (A)克羅梭曲線 (B)拋物線 (C)圓弧曲線(D)螺旋線 。
103. 豎曲線上每 20 公尺之坡度變遷量稱為該曲線之坡度變化率,通常以γ表示,如γ=0.1%,設 0.7%上坡與 0.5%之下坡相交,則曲線長為 (A)200m (B)220m (C)240m (D)260m 。
104. 設 0.7%上坡與 0.5%之下坡相交於 3k+280 之樁號處,其交點之高程為100 公尺,如最大之坡度變化率為 0.1%,則該曲線起點之高程為______公尺。 (A)99.16 (B)100.84 (C)100.0 (D)98.72
105. 設 0.7%上坡與 0.5%之下坡相交於 3k+280 之樁號處,其交點之高程為100 公尺,如最大之坡度變化率為 0.1%,則該曲線終點之高程為_____公尺。 (A)100.84 (B)99.4 (C)100.24 (D)98.76
106. 設 0.7%上坡與 0.5%之下坡相交於 3k+800 之樁號處,其高程為120m,上坡時切線長為 100m,下坡時切線長為 140m,則曲線起點之高程為 (A)119.3m (B)120.3m (C)120.5m (D)121.5m 。
107. 設 0.7%上坡與 0.5%之下坡相交於 3k+800 之樁號處,其高程為120m,上坡時切線長為 100m,下坡時切線長為 140m,則曲線終點之高程為 (A)119.5m (B)119.3m (C)120.8m (D)120.2m 。
108. 設螺旋曲線終點之半徑為 500m,螺旋曲線之全長為 200m,則在螺旋曲線上距其起點 50m 處之螺旋曲線角為 (A)0.0125 弧度 (B)0.025 弧度 (C)0.03 弧度 (D)0.035 弧度 。
109. 下列有關緩和曲線,何者不正確? (A)可視為螺旋曲線 (B)又稱介曲線 (C)不可用於複曲線間 (D)可用於直線與圓弧曲線間 。
110. 下列有關反向曲線之描述,何者不正確? (A)用於主要道路上 (B)不可用於鐵路幹線上 (C)中間交點(P.R.C.)無超高之設置 (D)由路線兩側之單曲線連結而成 。
111. 下列何種曲線較適宜為配合道路之超高而採用? (A)單曲線 (B)複曲線 (C)緩和曲線 (D)反向曲線 。
112. 已知北宜快速道路之隧道需開設數個坑井,則坑井之位置應選擇於 (A)山頂低處 (B)山頂最高處 (C)鞍部高處 (D)鞍部最低處 。
113. 鐵路之超高,一般採用 (A)路中心線維持不動,將路之外方提高超高度之半,而將內方降低至另一半 (B)路中心線維持不動,將路之外方提高至超高度 (C)路內側不動,將路之外方提高至超高度 (D)路外側不動,將路之內方降低至超高度 。
114. 公路之超高,一般採用 (A)路中心線維持不動,將路之外方提高超高度之半,而將內方降低至另一半 (B)路中心線維持不動,將路之外方提高至超高度 (C)路內側不動,將路之外方提高至超高度 (D)路外側不動,將路之內方降低至超高度 。
115. 已知一組反向豎曲線,首尾二切線之坡度為 g
1
=0.4%,g
2
=0.6%,坡度變率 r
1
=-0.1%,r
2
=+0.05%,曲線全長 L=l
1
+l
2
=10(以樁數計),則l
1
(以樁數計)為 (A)2 (B)4 (C)6 (D)8 。
116. 已知一組反向豎曲線,首尾二切線之坡度為 g
1
=0.4%,g
2
=0.6%,坡度變率 r
1
=-0.1%,r
2
=+0.05%,曲線全長 L=l
1
+l
2
=10(以樁數計),則l
2
(以樁數計)為 (A)2 (B)4 (C)6 (D)8 。
117. 設 0.48%之上坡與 0.7%之下坡相交,如以不超過最大坡度彎率 r=0.1%之考慮下,豎曲線最大實用長度之整樁為 (A)18 (B)16 (C)14 (D)12 。
118. 設路面寬度 6m,邊坡 1.5:1,橫斷面之記載為 K10+20:
,+2.4,
;K10+40:
,+3.6,
,試以三次水平截面之平均端面積計算法,求其土方數為 (A)704.2 立方公尺 (B)725.4 立方公尺 (C)730.8 立方公尺 (D)742.8 立方公尺 。
119. 某一路寬 6m 之橫斷面記載為
,+2.4,
,按三次水平截面計算,其橫斷面積為 (A)30 平方公尺 (B)27 平方公尺 (C)31 平方公尺 (D)22平方公尺 。
120. 就道路測量之路權設計而言,在平面圖上依用地寬度需標繪用地寬度線,並在用地寬度變化處及起訖點需加註樁號及 (A)坡度 (B)高程 (C)支距(D)超高 。
121. 路線縱斷面之設計,下列敘述何者較不適宜? (A)新闢路線者依一般路基設計之經濟原則設計 (B)都市計畫路段者應參照都市計畫路面之高度設計 (C)都市計畫未規定路面,則參考兩側店舖或騎樓高度設計之 (D)現有路面者,以現有道路鋪面層最底部設計之 。
122. 我國鐵路及公路上均採用平均端面積土方計算法,而較不採用稜柱體公式法,其原因為 (A)計算繁雜 (B)誤差大 (C)無應用實例 (D)假設條件多 。
123. 有關拋物線形之敘述,下列何者較為適宜? (A)多用於豎曲線 (B)多用於平曲線 (C)多使用偏角法定曲線 (D)其離開坡度線較不緩和,且其上高程不容易計算 。
124. 在直線與圓弧曲線設置緩和曲線應具備之條件,下列敘述何者較不適宜? (A)緩和曲線之起點須與直線相切,其曲度與超高度皆為零 (B)緩和曲線上各點曲度及超高度,隨其與起點之距離成反比而減少 (C)緩和曲線之終點須與單曲線相切,且其曲度與超高度須與單曲線相等 (D)緩和曲線終點之離心加速度應與單曲線上之離心加速度相同 。
125. 在複曲線間之緩和曲線應具備之條件,下列敘述何者較不適宜? (A)緩和曲線之起點須與曲度較小之單曲線相切,其曲度及超高度皆與該點之單曲線者相等 (B)緩和曲線上各點之曲度及超高度,隨其與曲線起點之距離成正比而增加 (C)緩和曲線終點須與曲度較大之單曲線相切,其曲度及超高度皆與該點之單曲線者相等 (D)緩和曲線之方程式為五次方之螺旋形曲線 。
126. 在反向曲線中間轉向點(P.R.C.)之超高敘述,下列何者正確? (A)無超高 (B)最大超高值 (C)最小超高值 (D)超高依曲率值增大成正比 。
127. 一單曲線之半徑為 1000m,欲以偏角法測設中間樁,當其切線偏角為 2°50'時,其相應之弦長為 (A)97.49m (B)98.13m (C)98.86m (D)99.19m 。
128. 一緩和曲線之全長為 100m,後接單曲之半徑為 1000m,則此緩和曲線之螺線角為 (A)2°42' (B)2°52' (C)3°02' (D)3°12' 。
129. 一單曲線之半徑為 1000m,其外偏角(交角)為 10°50',則該單曲線之曲線長為 (A)186.077m (B)187.077m (C)188.077m (D)189.077m 。
130. 某公路之縱斷面圖中,A 點樁號為 1K+200,其高程為 20.40m,B 點在 1K+240 處,其高程為 21.20m。今已知 A 點之設計高為 21.50m,該路段自 A 點起,按-1%坡度下降。試問 B 點應填或應挖土深多少cm? (A)應填 10cm (B)應挖 10cm (C)應填 30cm (D)應挖 30cm 。
131. 一三角形 ABC,點號依逆時針方向,已知 A、B 二點之坐標值如下:E
A
=1000m,N
A
=2000m,E
B
=1200m,N
B
=2010m,且已測得∠CAB=20°30',則方位角ψ
AC
應為 (A)66°38' (B)67°38' (C)68°38' (D)69°38' 。
132. 半徑為 500m 之單曲線,弧長 50m 所對應之弦長應為 (A)49.959m (B)49.969m (C)49.979m (D)49.989m 。
133. 某單曲線起點(BC)之樁號為 1K+190,半徑 R=500m,今若在曲線中點(MC)設站,由曲線起點(BC)方向開始推算,則樁號 1K+220 之總偏角為 (A)1°43'08" (B)1°51'21" (C)2°14'04" (D)2°22'37" 。
134. 水準測量觀測記錄如下表,單位為 m,已知 C 點高程為 45.000m,則 A點高程為
(A)44.660m (B)44.680m (C)44.700m (D)44.720m 。
135. 水準測量觀測記錄如下表,單位為 m,已知 B 點高程為 45.000m,則 A點高程為
(A)44.290m (B)44.390m (C)44.490m (D)44.590m 。
136. 水平角方向組法觀測記錄如下表,則 PA 方向正倒鏡平均值為
(A)179°59'58" (B)179°559'59" (C)359°59'58" (D)359°59'59" 。
137. 水平角方向組法觀測記錄如下表,則 PB 方向正倒鏡平均值為
(A)15°43'56" (B)15°43'58" (C)195°43'56" (D)195°43'58" 。
138. 水平角方向組法觀測記錄如下表,則∠APC 之角度值為
(A)18°23'04" (B)18°23'06" (C)18°23'08" (D)18°23'10" 。
複選題
139. 設 h 為幾何高,H 為正高,N 為大地起伏,下列敘述哪些正確? (A)三者的關係為 H=h-N (B)三者的關係為 h=H-N (C)地勢越高如山區,則通常N 值越大 (D)在高於海平面之陸地區域的 N 值通常為負 。
複選題
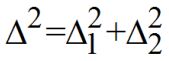
140. 施工放樣中,若設計之總誤差為△,允許測量工作的誤差為△
1
,允許施工產生的誤差為△
2
,下列敘述哪些正確? (A)三者誤差之關係為
(B)三者誤差之關係為
(C)若按「等量影響原則」,則
(D)若按「等量影響原則」,則
。
複選題
141. 工程測量中常需用到「方位角」,有關「方位角」的各項,下列敘述哪些正確? (A)隧道工程中可利用陀螺儀確定隧道開挖方位,其所測得的方位是相對於瞬間地球自轉軸之「真方位角」 (B)工作中常根據三角點投影坐標值計算方位角,其計算所得的方位角為「方格方位角」 (C)在簡便的踏勘工作中常利用羅盤儀獲得之方位角為「磁方位角」 (D)在地圖上量得方位角為 181°,然此處之磁偏角為 2°E,子午線收斂角為 2°W,則磁方向角應為 S3°W 。
複選題
142. 如下圖所示,在 A、B 二已知點上實施角度前方交會測定 P 點時,則下列敘述哪些正確?
(A)P 點將會在 E 軸方向具有較大的定位誤差 (B)P 點將會在 N 軸方向具有較大的定位誤差 (C)若增加角度觀測量∠BPA 有助於改善其誤差情形 (D)若增加距離觀測量 或 有助於改善其誤差情形 。
複選題
143. 如下圖所示,在 A、B 二已知點上實施距離交會測定 P 點時,則下列敘述哪些正確?
(A)P 點將會在 E 軸方向具有較大的定位誤差 (B)P 點將會在 N 軸方向具有較大的定位誤差 (C)若增加角度觀測量∠BPA 有助於改善其誤差情形 (D)若增加角度觀測量∠PAB 或∠ABP 有助於改善其誤差情形 。
複選題
144. 如下圖所示,在 A、B、C 三已知點上實施角度後方交會測定 P 點時,則下列敘述哪些正確?
(A)P 點將會在 E 軸方向具有較大的定位誤差 (B)P 點將會在 N 軸方向具有較大的定位誤差 (C)若增加距離觀測量改善其誤差情形,則以 較有效 (D)若增加距離觀測量改善其誤差情形,則以較有效 。
複選題
145. 如下圖所示,在 A、B 二已知點上實施距離交會測定 P 點時,則下列敘述哪些正確?
(A)P 點將會在 E 軸方向具有較大的定位誤差 (B)P 點將會在 N 軸方向具有較大的定位誤差 (C)若增加角度觀測量∠BPA 有助於改善其誤差情形 (D)若對 或 實施多次觀測取平均,有助於改善其誤差情形 。
複選題
146. 全球導航衛星系統(GNSS,Global Navigation Satellite System)技術常用於控制測量,則下列敘述哪些正確? (A)GNSS 在建立控制網之思考,是以基線相互連接形成異步觀測的控制網,再相互連接予以擴展(B)GNSS 選點僅需考量對空通視條件良好,必要時亦需考量點位之間的通視問題 (C)GNSS 選點應避免可能造成多路徑影響的場所,及遠離電波源及反射體,避免訊號干擾 (D)若使用 n 部 GNSS 接收儀,於 n 個測站同時進行觀測,可以成立 n(n-1)/2 條基線,其中只有 n-1 條獨立基線 。
複選題
147. 如下圖所示,A、B、C 為已知點,現擬採下列三法之一進行 P 點之定位:方法 1 為觀測∠APC 及∠BPC;方法 2 為觀測∠APC 及邊長 ;方法 3 為觀測∠BPC 及邊長 ,假設各觀測量之誤差相當,則下列敘述哪些正確?
(A)方法 1 無法得到 P 點定位成果 (B)方法 1 可以得到 P 點定位的最佳成果 (C)方法 2 可以得到 P 點定位的最佳成果 (D)方法 3 可以得到 P 點定位的最佳成果 。
複選題
148. 如下圖所示,由水準點 A 至水準點 B 經由 a、b、c 三條水準線實施直接水準測量。今測得 A、B 兩水準點之高程差及各水準線之長度如下表,則下列敘述哪些正確?
(A)高程差最或是值為 5.102m (B)高程差最或是值為 5.112m (C)高程差最或是值之中誤差為±0.002m (D)高程差最或是值之中誤差為±0.004m 。
複選題
149. 假設一全測站儀之角度測量中誤差為±5",測距之固定誤差為 5mm,比例誤差為 5ppm,距離測量不需考慮測程限制(亦即可一次施測完畢),則下列敘述哪些正確? (A)若施測距離為 D 公里,則測距標準偏差為
mm (B)若要求測角精度與測距精度相當,則當 D=210.8000m時,測角所產生之定位標準偏差等同於測距所產生之定位標準偏差 (C)若要求測角精度與測距精度相當,則當 D=999.950m 時,測角所產生之定位標準偏差等同於測距所產生之定位標準偏差 (D)若要求測角精度與測距精度相當,則距離相對精度應為 1/41253 。
複選題
150. 實施道路施工測量時,有關「路線勘測」內涵,下列敘述哪些正確?(A)路線勘測可以分成勘查與實地測量二個階段 (B)初測階段之主要工作內容為施測規劃設計用之地形圖 (C)定測主要目的是根據設計資料將路線測設於實地上,作為施工的依據 (D)可行性研究是利用已掌握的資料及各種考量,在 1/1000 或 1/2000 航空相片圖或地形圖上了解可能路線的沿線概略形勢,將研判出的可能路線標示於圖上,作為踏勘的依據 。
申論題 (0)
相關試卷
114年 - 04202 測量─工程測量 甲級 工作項目 05:變形測量 1-27(2025/10/28 更新)#132652
114年 · #132652
114年 - 04202 測量─工程測量 甲級 工作項目 04:應用測量 151-208(2025/10/28 更新)#132651
114年 · #132651
114年 - 04202 測量─工程測量 甲級 工作項目 04:應用測量 51-100(2025/10/28 更新)#132649
114年 · #132649
114年 - 04202 測量─工程測量 甲級 工作項目 04:應用測量 1-50(2025/10/28 更新)#132648
114年 · #132648
114年 - 04202 測量─工程測量 甲級 工作項目 03:空間資訊 51-84(2025/10/28 更新)#132647
114年 · #132647
114年 - 04202 測量─工程測量 甲級 工作項目 03:空間資訊 1-50(2025/10/28 更新)#132646
114年 · #132646
114年 - 04202 測量─工程測量 甲級 工作項目 02:天文方位測量 1-54(2025/10/28 更新)#132645
114年 · #132645
114年 - 04202 測量─工程測量 甲級 工作項目 01:控制測量 201-247(2025/10/28 更新)#132644
114年 · #132644
114年 - 04202 測量─工程測量 甲級 工作項目 01:控制測量 151-200(2025/10/28 更新)#132643
114年 · #132643
114年 - 04202 測量─工程測量 甲級 工作項目 01:控制測量 101-150(2025/10/28 更新)#132642
114年 · #132642