阿摩線上測驗
登入
首頁
>
技檢◆測量-工程測量-甲級
> 114年 - 04202 測量─工程測量 甲級 工作項目 05:變形測量 1-27(2025/10/28 更新)#132652
114年 - 04202 測量─工程測量 甲級 工作項目 05:變形測量 1-27(2025/10/28 更新)#132652
科目:
技檢◆測量-工程測量-甲級 |
年份:
114年 |
選擇題數:
27 |
申論題數:
0
試卷資訊
所屬科目:
技檢◆測量-工程測量-甲級
選擇題 (27)
1. 研究地殼變動之微變測量,應採用______精度之三角三邊測量。 (A)一等 (B)二等 (C)三等 (D)四等
2. 本省部分地區發生地層沉陷之微變情況,其主要原因為 (A)闢建道路 (B)建築房屋 (C)抽取地下水 (D)降雨量大 。
3. 檢測地層沉陷之變化量,宜定期、定點實施 (A)位置測量 (B)水準測量 (C)方向測量 (D)溫度測量 。
4. 地高低微變測量應使用 (A)經緯儀 (B)羅盤儀 (C)平板儀 (D)水準儀 。
5. 平面位置之微變測量應使用 (A)電子光波經緯儀 (B)平板儀 (C)羅盤儀 (D)天文觀測儀 。
6. 沉陷微變之觀測應使用 (A)經緯儀 (B)水準儀 (C)羅盤儀 (D)平板儀 。
7. 研究地殼變動等之微變測量應使用______三角測量。 (A)一等 (B)二等 (C)三等 (D)四等
8. 於空間直角坐標系,新建煙囪頂端中心點坐標為(30.000,20.000,29.500),底部中心點坐標為(30.000,20.000,0.000),一段時間後,煙囪受地層沉陷影響導致傾斜,監測得頂端中心點坐標為(30.500,20.500,30.000),底部中心點坐標不變,請計算煙囪傾斜前後,頂端中心點與底部中心點連線之夾角為 (A)10°33'12" (B)10°33'20" (C)10°33'27" (D)10°33'35" 。
9. 於變形監測網中,第一次觀測得 A 點之空間直角坐標為 X1=1010.210m、Y1=1021.311m 及 Z1=1013.531m,經過一段時間後,再對此變形監測網進行觀測得 A 點之空間直角坐標為 X2=1010.216m、Y2=1021.313m 及Z2=1013.533m,假設兩次觀測所得 XY 平面位置之標準偏差相等,請問在標準常態分佈 95%信心橢圓下,如欲判斷兩次觀測之 XY 平面位移量可能為變形所造成,那 XY 平面位置之標準偏差最小為 (A)1.8mm (B)2.3mm (C)2.9mm (D)3.3mm 。
10. 下列何者為較不適之敘述? (A)正斷層監測時,水準點佈設路線與斷層走向垂直者較佳 (B)逆斷層監測時,水準點佈設路線與斷層走向平行者較佳(C)變形監測網可不佈設固定點於未變形區域 (D)InSAR 可用於大面積地層下陷監測 。
11. 假設欲進行中油儲油槽本體之變形監測,請問下列何種測量方法或儀器較不適合此任務? (A)地面光達 (B)電子水準儀 (C)近景攝影測量 (D)全測站經緯儀 。
12. 下列何者為較不適之敘述? (A)全測站經緯儀可用於建築物傾斜監測 (B)e-GNSS 可用於地球板塊運動監測 (C)電子水準儀可用於監測台鐵鐵軌水平變形 (D)地面光達可用於建築物傾斜監測 。
13. 假設苗栗火燄山於某一夜晚崩塌,土石覆蓋縣道,現因救災須於當晚快速測繪崩塌地區之三維地形,請問下列何種測量方法較適合此任務? (A)地面光達 (B)水準測量 (C)航空攝影測量 (D)e-GPS 。
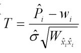
14. 如下圖所示,由 A、P1、C、B、P2 五個點組成一水準網,並施測 7 條水準路線 h1 至 h7,其中 A、B 為不變動之水準點,水準網平差採間接平差。假設 P1、P2 之高程已知,分別為 6.3710m 及 7.0440m,若干年後對其實施監測並平差後,得 P1、P2 之協因數矩陣(CofactorMatrix)為 Q,高程分別為 6.3746m 及 7.0278m,殘差平方和為 19.75mm2。為檢核 P1 點於此期間是否有沉陷,須採用 t 分佈檢核,請計算統計測試所需之統計量T(
,
為平差後高程,
為已知高程,
為中誤差,
為權倒數,i=1,2),其值為
(A)2.23 (B)2.34 (C)2.46 (D)2.48 。
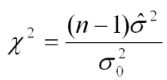
15. 假設某一變形監測網,某單位一直使用甲廠牌經緯儀進行監測,其測角變方為 20 秒 2,因故欲改採乙廠牌經緯儀進行監測。為檢驗此兩種廠牌經緯儀的測角精度是否有顯著差別?按相同操作規範由乙廠牌經緯儀觀測25 測回,得測角中誤差為 4.3 秒,請計算統計測試所需之統計量X
2
(
,n-1 為自由度、
為已知變方、
代為樣本變方)為(A)21.2 (B)22.2 (C)23.1 (D)25.9 。
16. 下列何者為較不適之敘述? (A)建築物設計錯誤可能導致變形 (B)建築物施工方法不當可能導致變形 (C)地質探勘不完全可能導致建築物變形 (D)變形監測無須考量觀測週期 。
17. 已知某建物的沉陷量允許變形值為 4cm,為確保此建物安全,則監測此建物變形之觀測精度為 (A)0.2cm 至 0.4cm 間 (B)0.5cm 至 0.7cm 間 (C)0.8cm至 1.0cm 間 (D)1.1cm 至 1.3cm 間 。
複選題
18. 有關台灣地區板塊運動,下列敘述哪些正確? (A)台灣地區位於歐亞大陸板塊與菲律賓海板塊的交界處 (B)台灣的中央山脈地區正處於板塊抬升的狀態 (C)台灣地區板塊的水平移動方向大致呈現東北向西南推擠的走勢 (D)台灣西南部彰化、雲林、嘉義、台南等地區地層下陷的主要原因之一為當地嚴重的土壤液化問題 。
複選題
19. 有關台灣地區地層下陷量之監測,下列哪些正確? (A)水準測量為一常用且精度高的地層下陷量監測方法 (B)水準測量可以獲得監測點之間公釐等級的橢球高差 (C)全球導航衛星系統(Global Navigation SatelliteSystem,GNSS )技術可用於地層下陷量的監測,獲得監測點的橢球高變化(D)對流層折射延遲誤差為影響 GNSS 橢球高監測結果的主要因素之一 。
複選題
20. 如欲實施地表滑移量的監測工作,下列敘述哪些正確? (A)監測點應以佈設於斷層(或滑移)邊界之同側為主 (B)透空度不佳的環境較不適合採用全球導航衛星系統(Global Navigation Satellite System,GNSS )技術 (C)順向坡通常較逆向坡具有更大的滑移速率 (D)GNSS 技術可以提供監測點相對的滑移量 。
複選題
21. 對於變形監測分析,下列哪些正確? (A)運用卡方(X
2
)測試可以分析監測量的中誤差估計結果之差異 (B)運用 t 測試可以分析監測量的估計結果之差異 (C)使用卡方(X
2
)測試時,可以不必考慮其自由度 (D)F 測試可以用來分析不同樣本組之間估計結果的差異 。
複選題
22. 有關人工結構物(如橋樑、建物、軌道、油槽)之監測,下列敘述哪些正確? (A)應用全球導航衛星系統(Global Navigation SatelliteSystem,GNSS )技術,可以長期監測橋樑與時間有關的三維變形量,並且能監測板塊運動的影響 (B)使用全測站(Total Station)儀器,可以獲得建物水平、垂直方向的變形量 (C)水準儀可以測量軌道的垂直變形量,而為了降低系統誤差的影響,應在中午光線較明亮時刻進行觀測 (D)使用雷射掃描儀(Lidar, 光達)能夠獲得人工結構物的點雲資料,因此可以作為油槽變形之監測 。
複選題
23. 有關變形監測的精度與可靠度,下列敘述哪些正確? (A)增加重複觀測次數無法有效提升監測結果的精度 (B)為提升監測結果的可靠度,增加多餘觀測量為一有效的方法 (C)監測點位之間應儘量聯測成網,可以提升監測結果的可靠度 (D)為提高監測資料的偵錯能力,增加重複觀測次數或多餘觀測量均為有效的可行方法 。
複選題
24. 某一煙囪竣工時的垂直高度為 5 公尺,使用五年後,使用全測站儀器測得煙囪頂端投射至底部水平地面的投影點位置,得知投影點偏離原煙囪中心之量值為向東 0.3 公尺,向南 0.4 公尺,則下列敘述哪些正確? (A)煙囪頂端的投影水平位移為 0.5 公尺 (B)煙囪柱與水平地面的夾角約為 80 度 50分 03 秒 (C)煙囪柱傾斜的方位角約為 143 度 07 分 48 秒 (D)假設煙囪柱的傾斜量與時間呈線性關係,則其每年約傾斜 1 度 8 分 32 秒 。
複選題
25. 若某大壩位於高程約 2000 公尺的山區,分別使用全測站儀器與全球導航衛星系統(Global Navigation Satellite System,GNSS )技術檢測兩相距約 3公里之監測點距離,下列敘述哪些正確? (A)使用全測站儀器測得的距離需進行大氣折射與地球曲率的改正 (B)使用 GNSS 測得的距離受到電離層折射延遲誤差的影響 (C)使用 GNSS 測得的距離即為兩監測點的水平距離(D)在沒有任何儀器誤差的影響下,全測站儀器得到的水平距離與 GNSS 得到的空間距離相同 。
複選題
26. 下列有關運用精密水準測量進行變形監測作業之敘述哪些正確? (A)精密水準測量可以獲得較高精度監測結果的主要因素為使用較高精度的儀器、較嚴謹的施測程序與誤差的處理計算 (B)保持每次觀測時,前、後視視距之差異在一定的限制範圍內的主要目的為降低視準軸、地球曲率以及大氣折射等誤差的影響 (C)在起、終點樁位上,使用相同的水準尺之主要目的為消除水準尺面刻劃不均勻的影響 (D)在不影響施測人員安全的前提下,採取夜間觀測可以大幅降低大氣折射誤差的影響 。
複選題
27. 有關應用全球導航衛星系統(Global Navigation Satellite System,GNSS )技術進行地表變形之監測作業,下列敘述哪些正確? (A)監測點的透空度為選點作業的主要考量因素之一 (B)低仰角衛星訊號受到大氣折射誤差之影響較高仰角衛星訊號為大 (C)接收多個不同導航衛星系統資料的主要目的為降低多路徑效應之影響 (D)都市地區的衛星幾何分佈較集中,因此其定位成果的精度較佳 。
申論題 (0)
相關試卷
114年 - 04202 測量─工程測量 甲級 工作項目 04:應用測量 151-208(2025/10/28 更新)#132651
114年 · #132651
114年 - 04202 測量─工程測量 甲級 工作項目 04:應用測量 101-150(2025/10/28 更新)#132650
114年 · #132650
114年 - 04202 測量─工程測量 甲級 工作項目 04:應用測量 51-100(2025/10/28 更新)#132649
114年 · #132649
114年 - 04202 測量─工程測量 甲級 工作項目 04:應用測量 1-50(2025/10/28 更新)#132648
114年 · #132648
114年 - 04202 測量─工程測量 甲級 工作項目 03:空間資訊 51-84(2025/10/28 更新)#132647
114年 · #132647
114年 - 04202 測量─工程測量 甲級 工作項目 03:空間資訊 1-50(2025/10/28 更新)#132646
114年 · #132646
114年 - 04202 測量─工程測量 甲級 工作項目 02:天文方位測量 1-54(2025/10/28 更新)#132645
114年 · #132645
114年 - 04202 測量─工程測量 甲級 工作項目 01:控制測量 201-247(2025/10/28 更新)#132644
114年 · #132644
114年 - 04202 測量─工程測量 甲級 工作項目 01:控制測量 151-200(2025/10/28 更新)#132643
114年 · #132643
114年 - 04202 測量─工程測量 甲級 工作項目 01:控制測量 101-150(2025/10/28 更新)#132642
114年 · #132642