所屬科目:通信系統
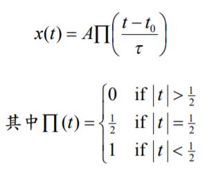
一、請寫出下式的傅立葉轉換(Fourier transform)、振幅頻譜(amplitude spectrum)和相位頻譜(phase spectrum)。(20 分)
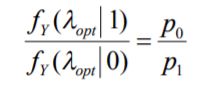
三、在二進制 PCM 系統(binary pulse-code modulation)中,符號 0 和 1 分 別具有先驗機率 p0和 p1,我們將從接收器的輸出端取樣而得的信號定義 為隨機變數 Y,當傳輸符號為 0 時,其條件機率密度為,傳輸符 號為 1 時,其條件機率密度為,令λ為接收器的門檻值,當取樣 值超過λ時,接收器就將接到的信號定為 1,否則就將其定為 0。請證明 能使平均錯誤率最低的最佳門檻值λ opt符合以下關係:(20 分)
四、一個 8 階脈波振幅調變(8-level pulse-amplitude modulation, 8 PAM)信 號被下式所定義: 其中 Ai = ±1, ±3, ±5, ±7,請畫出 的信號星座圖。(20 分)