所屬科目:初等/五等/佐級◆基本電學大意
2 如圖所示電路,試求電流大小及其電流方向為何?
(A) 0.5A,A 點到 B 點(B) 4.5A,A 點到 B 點(C) 0.5A,B 點到 A 點(D) 4.5A,B 點到 A 點
4 如圖所示電阻電路,RL 為可變電阻,試求 RL 為幾歐姆時,可獲得最大功率? (A)1 (B)2 (C)4 (D)8
5 如圖兩線圈的電感量分別為 L1=0.4 H、L2=0.9 H,且耦合係數為 k=0.5,該兩線圈之總等效電感量為 多少亨利? (A) 0.5 (B) 0.65 (C) 0.7 (D) 1
6 如圖所示電阻電路,負載電阻 RL為多少歐姆時,可得到最大功率轉換? (A) 8 (B) 16 (C) 24 (D) 32
8 下圖為一電容器充電電路,設初時電容被充電至 V1,試計算當電流 i1 降至其初值的一半時,殘留於 電容器的能量與初時的能量比值(γ)為何? (A) γ=1/ 2 (B) γ=1/ 3 (C) γ=1/ 4 (D) γ=1/ 5
10 有一電壓波,示波器上顯示其波形如下圖,此電壓波之均方根值電壓(RMS voltage)為何?
(A) (B) (C) (D)
12 如圖示之電路,求電壓 v 之值約為何? (A) 0.9 V (B) 0.95 V (C) 0.98 V (D) 1.0 V
13 如圖示之電路,求電流 I 之值為何? (A) 0.8 A (B) 1.0A (C) 2.0A (D)0A
14 如圖示之電路,求電阻 R 之最大功率值約為何? (A) 13.44W (B) 14.33W (C) 12W (D) 12.5W
15 如圖所示,試求 RL 之值使 RL 之功率為最大: (A)R (B) 4R (C) (8/3)R (D) 6R
17 如圖所示,求 a、b 之間的諾頓等效電流為何? (A) V/R (B) V/(2R) (C) V/(3R) (D) V/(4R)
18 試求圖中 6 Ω 電阻兩端 a-b 點間之戴維寧等效電阻為何? (A)1Ω (B)3Ω (C)6Ω (D)9Ω
19 試求圖中 9 Ω 電阻兩端 a-b 點間之諾頓等效電流為何? (A) 1 安培 (B) 2 安培 (C) 3 安培 (D) 4 安培
20 如下電路,試以 KVL 法計算 VB 之值: (A)2V (B)3V (C)4V (D)5V
21 如下電路,試求當 V1= 5 V 且 R1= 1 kΩ 時,此電路中的電流 i1 應為多少? (A)5A (B) 5 mA (C) 0.5 A (D) 0.5 mA
22 如圖總長度 l 的金屬線繞於半徑 r、相對導磁係數 m1 的芯棒 A 上形成一電感量為 0.2 亨利的電感 器,為了增加電感量到 4 亨利而將同長度 l 的金屬線改繞於半徑 2r、相對導磁係數 m2 的芯棒 B 上, 則 m2/m1 的比值為何? (A)5 (B) 10 (C) 20 (D) 40
23 如圖所示,有一平行板電容器內夾兩種介質,極板寬度為(W1+W2),長度為 L,板距為 d,兩種介 質材料的寬度分別為 W1 及 W2,介電係數為 ϵ1 及 ϵ2,此平行板電容器的電容值為何?
24 如圖所示電路,各電容器的電容量皆為 2 法拉,且初始電壓皆為 0 伏特,試問開關閉合多少秒後, 電容器 C4 的電壓可達 10 伏特? (A) 150 秒 (B) 100 秒 (C) 75 秒 (D) 50 秒
25 如圖所示,在空氣中,xy 平面上有一無限大的接地金屬面,P、Q 兩點位於 z 軸上,與金屬面的距離分別為 2 公尺及 4 公尺。若在 Q 點放置一個 4×10-8 庫倫的電荷,則 P 點上的電場強度為多少伏特/公尺?
(A) 56 (B) 60 (C) 90 (D) 100
26 如圖所示,則該電路之時間常數為多少微秒(μs)? (A) 20 (B) 25 (C) 50 (D) 100
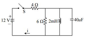
27 如圖所示之電路,開關 S 閉合後,到達穩態時,電流 i 為多少安培(A)? (A)2 (B)3 (C)4 (D)6
28 如圖所示電路,若電路已達穩態,則電流 I 為多少安培? (A)0 I (B)2 (C)4 (D)6
29 如圖所示之電路,在開關位置 1 時為穩態,若 t=0 時將開關移至位置 2,則當 t>0 時,求電流 i(t) 之表示式為多少毫安培? (A) 5e-2000t (B) 5(1-e-2000t) (C) 5e -200t (D) 5(1-e-200t)
30 如圖,R1=6Ω,R2=3Ω,C=2F,設電容器上之初始電壓為 6V,於開關閉合後,經幾秒時電壓 VC 為 9 V? (A) 4.00 秒 (B) 2.77 秒 (C) 1.33 秒 (D) 0.67 秒
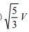
34 如圖示電路,若交流電源頻率為 60Hz,且流經各電感之電流為 Ii =|Ii|∠θi,則 |I1|:|I2|:|I3| 為多少?
(A) 1:2:5 (B) 1:5:2 (C) 10:2:5 (D) 10:5:2
35 如圖示之 RC 並聯電路,若交流電源之頻率為 1kHz,R=20Ω,C=5µF,求交流導納 Y=1/ZT 之相位 角為多少? I (A) tan-1 0.0628 (B) tan-1 0.314 (C) tan-1 0.0314 (D) tan-1 0.628
36 下列左圖為一 RLC 串聯電路,右圖為同電路去掉電阻 R2 後之 RLC 串聯電路。令其交流阻抗各為 ZT1=|ZT1| ∠ θ1 與 ZT2=|ZT2| ∠ θ2 ,且電流各為 I1=|I1| ∠ θI1 與 I2=|I2| ∠ θI2,則下列敘述何者錯誤?
(A) θI1 <θI2 (B)|I1| < |I2| (C)|ZT1| < |ZT2| (D) θ1 >θ2
38 如圖所示的電路,若輸入電壓振幅相等但頻率分別為 30k、40k、50k 及 60k(rad/s)的 4 個正弦訊號, 何者將會使輸出電壓 vO 的振幅具有相對最小值? (A) 30k (B) 40k (C) 50k (D) 60k