所屬科目:測量平差法
一、已知一個點位坐標 X、Y 的變方-協變方矩陣如下:, 試問需要將坐標軸旋轉多少角度,方可使得參考於新坐標軸的坐標相關 係數為零?(旋轉角度必須註明順時針或逆時針旋轉。旋轉的角度值計 算到度,度以下四捨五入)(25 分)
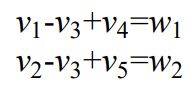
二、有一條件平差模型如下: 其中 v1~v5 是觀測量改正數,其權矩陣為 P,而 w1、w2為不符值。試將 該條件平差模型化為間接觀測平差模型(GMM 平差模型),但不必求 解。(25 分)