所屬科目:高中指考◆數學甲
2.設 n 為 正 整 數 。 第 n 個 費 馬 數 ( Fer mat Number ) 定 義 為,例如。試 問 的 整 數 部 分 以 十 進 位 表 示 時, F12 其 位 數 最 接 近下列 哪 一個選 項 ? ( log 2 ≈ 0.3010 ) (A) 120 (B) 240 (C) 600 (D) 900 (E) 1200
3. 在 一 座 尖 塔 的 正 南 方 地 面 某 點 A, 測 得 塔 頂 的 仰 角 為 14° ; 又 在 此 尖 塔 正 東 方 地 面 某 點 B, 測 得 塔 頂 的 仰 角 為 18°30' , 且 A、 B 兩 點 距 離 為 65 公 尺 。 已 知 當 在 線 段上 移 動 時 , 在 C 點 測 得 塔 頂 的 仰 角 為 最 大 , 則 C 點 到 塔 底 的 距 離 最 接近 下列 哪 一 個 選 項 ? ( cot14° ≈ 4.01 , cot18°30' ≈ 2.99 ) (A)27 公 尺 (B) 29 公 尺 (C)31 公 尺 (D)33 公 尺 (E) 35 公 尺
4.設 Γ 為 坐 標 平 面 上 通 過 (7, 0) 與兩 點 的 圓 。 試 選 出 正 確 的 選 項 。 (A) Γ的 半 徑 大 於 或 等 於 5 (B) 當 Γ的 半 徑 達 到 最 小 可 能 值 時 , Γ通 過 原 點 (C) Γ與 直 線 x + 2y = 6有交點 (D) Γ的 圓 心 不 可 能 在 第 四 象 限 (E) 若 Γ的圓心在第三象 限 , 則 Γ的 半 徑 大 於 8
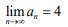
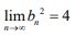
6.設〈 an〉 、〈 bn〉 為 兩 實 數 數 列 , 且 對 所 有 的 正 整 數 n , 均 成 立 。 若 已 知 , 試 選 出正確的選 項 。(A)對 所 有 的 正 整 數 n , an > 3 均 成 立 (B) 存 在 正 整 數 n , 使 得 (C)對 所 有 的 正 整 數 n , 均 成 立 (D) (E)
7. 已 知 三 次 實 係 數 多 項 式 函 數 f ( x) = ax 3 + bx2 + cx + 2 , 在 − 2 ≤ x ≤ 1 範 圍 內 的 圖 形 如 示意圖: 試選出正確的選項。 (A) a>0 (B) b > 0 (C) c > 0 (D)方 程 式 f ( x) = 0 恰 有 三 實 根 (E) y = f ( x) 圖 形 的 反 曲 點 的 y 坐 標 為 正
8.坐 標平面上以原點O為圓心的單 位圓上三相異 點 A、 B、 C 滿 足, 其 中 A 點 的 坐 標 為 (1, 0) 。 試 選 出 正 確 的 選 項 。 (A)向 量的 長 度 為 4 (B)內 積(C) ∠BOC 、 ∠AOC 、 ∠AOB 中 , 以 ∠BOC 的 度 數 為 最 小 (D)(E) 3sin ∠AOB = 4sin ∠AOC
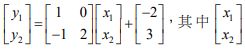
A. 在 坐 標 平 面 上,定 義 一 個 坐 標= 變換 代 表 舊 坐 標, 代 表 新 坐 標 。 若 舊 坐 標 為的 點 P 經 此 坐 標 變 換 得 到 的 新 坐 標 為 , 則 (r , s) = (⑨ ,⑩ ⑪ ) 。
B. 在 坐 標 平 面 上 , A(a, r ) 、 B (b, s ) 為 函 數 圖 形 y = log 2 x 上 之 兩 點 , 其 中 a < b 。 已 知 A、 B 連 線 的 斜 率 等 於 2, 且 線 段的 長 度 為, 則 (a, b) = (化成最簡分數)
C. 設 z 為 複 數 。 在 複 數 平 面 上 , 一 個 正 六 邊 形 依 順 時 針 方 向 的 連 續 三 個 頂 點 為 z 、 0 、 z + 5 −, 則 z 的實部為 。( 化 成 最 簡 分 數 )
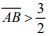
(3) 若 是 長 度 為 2 的 向 量 , 分 別 與 之 夾角皆 為 60° , 已知滿足此 條件的所有點 Q 均落在一直線 L上,試求直線 L 的方向向量。(4 分)
(4) 試證明恰有一個大於 1 的正實數 a 滿足 。 ( 4 分 )