所屬科目:高中指考◆數學甲
1.考慮兩個函數。關於函數的極限,試選出正確的選項。 (A) (B) (C) (D) (E)
2.某質點在數線上移動,已知其位置坐標為,其中t表時間且0 ≤ t < a。若此質點的速度在時段遞增,且在時段a < t ≤ 10遞減,試選出正確的a值。 (A)3 (B)4 (C)5 (D)6 (E)7
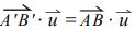
二、多選題4.設二階方陣M為在坐標平面上定義的線性變換,O為原點。已知M可將不共線 的三點O、A、B映射至不共線的三點O、A'、B',試選出正確的選項。 (A)M為可逆矩陣 (B)若M將點C 映射至點 C' 且 , 則 (C) ∠AOB=∠ A'OB' (D) (E) △OA'B'的面積 = △OAB 的面積 ✖ | det (M) |
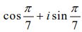
5.下列選項中,試選出與相乘之後會得到實數的選項。(註:)(A)(B)(C)(D)(E)
6.持續投擲一枚公正骰子,在過程中若出現連續兩次點數的和為7時,就停止投擲。例如:若前兩次投擲分別出現點數1、4,點數和不等於7,所以繼續投擲;若第三次投出點數3,因為第二次與第三次點數和為7,所以此時即停止 投擲。關於此機率事件,試選出正確的選項。 (A)在第一次投擲的點數為6 的情況下,總共投擲兩次就停的機率為 (B) 總共投擲兩次就停止的機率為 (C) 在第一次投擲的點數為 5 的情況下,總共投擲三次恰好停止的機率為 (D) 總共投擲三次恰好停止的機率大於 (E) 至少投擲三次才停止的機率為
7.關於非常數的實係數多項式函數f(x),試選出正確的選項。 (A)若f(1)f(2)<0,則存在滿足f(c)=0 (B)若f(1)f(2)>0,則對任意的,f(c)≠0均成立 (C)若f(1)f(2)f(3)<0,則存在滿足f(c)=0 (D)若,則存在 滿足 (E) 若, 則f(1)f(2)<0
C.等腰三角形ABC中,令θ=∠BAC。若,則三角形ABC的面積為 。(化成最簡分數)
(2)試證明。
(3)若,試求實數α,β之值。(6分)
(1)若,其中k為實數,試求出b(以k的數學式表示)。(4分)
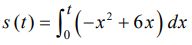
(3)若知f(-1)=0,試求積分之值。(4分)