所屬科目:高中指考◆數學甲
1.坐標平面上,一質點由點(- 3,- 2)出發,沿著向量(a ,1)的方向移動5單位長之後剛好抵達x軸,其中a為正實數。試問a值等於下列哪一個選項? (A)(B)2(C)(D) (E)
2.放射性物質的半衰期T定義為「每經過時間T,該物質的質量會衰退成原來的一半」。鉛製容器中有A、B兩種放射性物質,其半衰期分別為TA、TB。開始記錄時這兩種物質的質量相等,112天後測量發現物質B的質量為物質A的質量的四分之一。根據上述,試問TA、TB滿足下列哪一個關係式?(A)(B)(C)(D)(E)
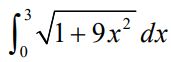
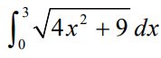
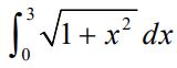
3.試問極限的值可用下列哪一個定積分表示? (A)(B)(C)(D)(E)
4.設a,b為實數。已知四個數-3, - 1,4,7皆滿足x的不等式|x-a|≤b,試選出正確的選項。(A)也滿足x的不等式|x-a|≤b (B)3,1,-4, -7滿足x的不等式|x+a|≤b(C)滿足x的不等式(D) b 可能等於 4 (E) a,b可能相等
5.考慮實係數多項式f(x)=x4-4x3-2x2+ax+b。已知方程式f(x) =0有虛根1+2i(其中),試選出正確的選項。(A)1 - 2i也是f(x)=0的根 (B)a,b皆為正數 (C)f'(2.1)<0(D)函數y=f(x)在x=1有局部極小值(E)y=f(x)圖形反曲點的x坐標皆大於0
6.設a,b,c,d,r,s,t皆為實數,已知坐標空間中三個非零向量及滿足內積。考慮三階方陣,試選出正確的選項。 (A)若,則行列式(B) 若 t ≠ 0 ,則行列式 (C) 若存在一個向量滿足,則行列式(D) 若對任意三個實數e,f,g,向量 (e,f,g)都可以表示成的線性組合,則 行列式(E) 若行列式, 則 A 的行列式不等於 0
8.複數平面上,設代表複數z的共軛複數,且。試選出正確的選項。(A)若zi=2,則 (B)若非零複數 α 滿足, 則|α|=2 (C) 若非零複數 α 滿 足且 令 β = iα , 則(D) 滿足的所有非零複數 z 中,其主輻角的最小可能值為 (E) 恰有3個相異非零複數 z 滿足
9.已知平面上直角△ABC的三邊長。若分別以與為底邊在△ABC的外部作頂角等於120°的等腰三角形△MAB 與△NAC , 則。(化為最簡分數)
10.坐標空間中有方向向量為(1,-2,2)的直線L、平面E1:2x+3y+6z=10與平面 E2:2x+3y+6z=-4。則 L 被E1、 E2 所截線段的長度為 。(化為最簡分數)
12. 試求向量夾角的餘弦值。(非選擇題, 2 分 )
13.試證明y=f(x)圖形與Ω在P點有共同的切線。(非選擇題,4分)
14.試求y=f(x)圖形上方與Ω下半圓弧所圍區域的面積。(非選擇題,6分)
15. 橢圓Γ'的長軸長為。(化為最簡根式)(選填題, 2 分 )
17.已知在Γ上的一點P經由此旋轉後得到的點P'落在x軸上,且P'點的x坐標大於0。 試求P點的坐標。(非選擇題,6分)