複選題
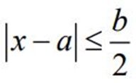
4.設a,b為實數。已知四個數-3, - 1,4,7皆滿足x的不等式|x-a|≤b,試選出正確的選項。
(A)
也滿足x的不等式|x-a|≤b
(B)3,1,-4, -7滿足x的不等式|x+a|≤b
(C)
滿足x的不等式
(D) b 可能等於 4
(E) a,b可能相等
統計: A(28), B(36), C(20), D(16), E(0) #3144615
詳解 (共 3 筆)
中點是a


由圖可以知道
(a+b)≥7……..(2)
=>
(a+b)≥7……..(2)
(2) - (1) : 2a≥ 4 => a≥2
故a = 2

正好處於該數線的正中央 (因為中點相等)
而非我們一開始假設的左邊 圖更正如下:

(D) b 可能等於 4
=> 錯!! b≥5
選項(E)
(E) a,b可能相等
=> 錯!! a = 2, 不會跟一個”大於等於5”的數相等
選項(A)
(A)
也滿足x的不等式|x-a|≤b
=> 根號10介於3跟4之間 位於紅色區塊範圍內 必然在數線範圍內
=> 正確!!
選項(B)
(B) 3,1,-4, -7滿足x的不等式|x+a|≤b
=> a代2 , b代5 可得
-7≤x≤3 , 數列 3,1,-4, -7滿足該範圍
=> 正確!!
選項(C)
(C)
滿足x的不等式
=> a代2 , b代5 可得

數列
不滿足該範圍
=> 錯誤!!
所以正確選項為(A)(B)
======================================================================================
解題思路與考點 :
有些解法是 一開始就以該數列的中點 也就是

來當作a值 這邏輯不對~!!
因為題目沒跟你講 該數列會正好位於數線的正中央 可能在左邊 可能在右邊
怎會一開始 就假定兩者的中點相等 該數列正好位於正中央?
仔細看我解法 我是先解出a = 2 然後
湊巧 正好 發現
a = 2也是數列-3,-1,4,7的中點 才斷定該數列會正好位於數線的正中央
要先證明成功 才可以下結論
(b-a)≥ 3……..(1)
(a+b)≥7……..(2)
但相減 我是減兩次喔 得到兩個結論:
(2) - (1) : 2a≥ 4 => a≥2
大減小就會是正 小減大就會是負
我不知道嘛 所以兩個都減
最後把a收斂為 “等於2”
4. 選項(A)給你出個
不用想說絕對值搞糊塗 再來個根號 尿都滴出來了
根號10就是3點多 (3跟4之間)
所以翻譯就是 :
=> 3點多的值 滿足該不等式 正確?
考題常會出現 “披著狼皮的羊”
同理
滿足該不等式 正確?
你也不用嚇到漏尿 這題答案是π 約為3.14
所以翻譯就是 :
=> 3.14滿足該不等式 正確?
就是這樣而已 考試要懂得 "中文翻譯成數學"
5. 選擇題 沒人規定要先從(A)開始解
沒發現我一開始先解(D)跟(E)嗎?
因為a跟b出來後 (D)跟(E)就秒殺啊
考場搶時間 會的先做