所屬科目:高中指考◆數學甲
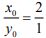
1.設x0、y0為正實數。若坐標平面上的點(10x0,100y0 )在函數的圖形上,則點(x0,logy0)會在直線y=ax+b的圖形上,其中a、b為實數。試問2a-b的值為何? (A)4 (B)9 (C)15 (D)18 (E)22
3.試求極限的值。 (A)109 (B) (C) (D) (E)
4.某電子公司有數百名員工,其用餐方式分為自備、外食兩種。經長期調查發現: 若當日用餐為自備的員工,則隔天會有10%轉為外食;若當日用餐為外食的員工,則隔天會有20%轉為自備。 假設x0、y0分別代表該公司今日用餐自備人數與外食人數占員工總人數的比例, 其中x0、y0皆為正數,且分別代表經過n日後用餐自備人數與外食人數 占員工總人數的比例。在該公司員工不變動的情形下,試選出正確的選項。 (A)y1=0.9y0+0.2x0 (B) (C)若,則對任意正整數n均成立 (D)若y0>x0,則y1>x1 (E)若x0>y0,則x0>x1
5.假設f(x)為五次實係數多項式,且f(x)除以的餘式為,n是正整數。 試選出正確的選項。 (A)r1(x)=f(1) (B)r2(x)是一次實係數多項式 (C)r4(x)除以x2-1所得的餘式等於r2(x) (D)r5(x)=r6(x) (E)若f(-x)=-f(x),則r3(-x)=-r3(x)
6.一個標有1至12號格子的12格戳戳樂遊戲,每回遊戲以投擲一枚均勻銅板四次來決定要戳哪些格子。規則如下:(一)第一次投擲銅板,若是正面,則戳1號格子;若是反面,則戳3號格子。(二)第二、三、四次投擲銅板,若是正面,則所戳格子的號碼為前一次所戳格子的號碼加1;若是反面,則所戳格子的號碼為前一次所戳格子的號碼加3,依此類推。例如:投擲銅板四次的結果依序為「正、反、反、正」,則會戳編號分別為1、4、7、8號的四個格子。假設mp代表在每回遊戲中m號格子被戳到的機率,試選出正確的選項。(A)(B)(C)(D)(E)在4號格子被戳到的條件下,3號格子被戳到的機率為
7.設F(x)為一實係數多項式且F'(x)=f(x)。已知f'(x)>x2+1.1對所有的實數x均成立,試選出正確的選項。 (A)f'(x)為遞增函數 (B)f(x)為遞增函數 (C)F(x)為遞增函數 (D)[f(x)]2為遞增函數 (E)f(f(x))為遞增函數
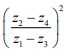
8.已知z1、z2、z3、z4為四個相異複數,且其在複數平面上所對應的點,依序可連成一個平行四邊形,試問下列哪些選項必為實數? (A)(z1 -z3)(z2 -z4)(B)z1 -z2+z3 -z4(C)z1 +z2+z3 +z4 (D) (E)
三、選填題 A.從6、8、10、12中任取三個相異數字,作為三角形的三邊長,且設此三角形的最大內角為θ。在所有可能構成的三角形中,cosθ的最小值為_________。(化成最簡分數)
B.坐標平面上,一個半徑為12的圓與直線x+y=0 相交於兩點,且這兩點的距離為8。若此圓與直線x+y=24交於P、Q兩點,則線段的長度為________。 (化成最簡根式)
(1)α=_______
(2)β=_______
(3)試判斷點H'在平面E的投影點是否位在△ABC的內部?並說明理由。(4分)(註:三角形的內部不含三角形的三邊)
(1)當m=2時,試求出在x≥0的範圍內,Γ與L的三個相異交點的x坐標。(2分)
(3)在x≥0的範圍內,若Γ與L有三個相異交點,則滿足此條件的m之最大範圍為a<m<b,試求a、b之值。(6分)