題組內容
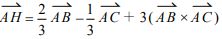
一、坐標空間中,令E為通過三點A(0,-1,-1)、B(1,-1,-2)、C(0,1,0) 的平面。假設H為空間中一點,且滿足
。根據上述,試回答下列問題。
(3)試判斷點H'在平面E的投影點是否位在△ABC的內部?並說明理由。(4分)(註:三角形的內部不含三角形的三邊)
一、坐標空間中,令E為通過三點A(0,-1,-1)、B(1,-1,-2)、C(0,1,0) 的平面。假設H為空間中一點,且滿足
。根據上述,試回答下列問題。
(3)試判斷點H'在平面E的投影點是否位在△ABC的內部?並說明理由。(4分)(註:三角形的內部不含三角形的三邊)