所屬科目:高中指考◆數學甲
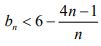
1.設a1,a2,a3,a4是首項為10、公比是10的等比數列。令,試選出正確的 n =1 選項。 (A) 2 < b ≤ 3 (B) 3 < b ≤ 4 (C) 4 < b ≤ 5 (D) 5 < b ≤ 6 (E) 6 < b ≤ 7
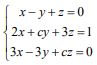
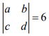
2.設c為實數使得三元一次方程組無解。試選出c之值。 (A) -3 (B) -2 (C) 0 (D) 2 (E) 3
3.坐標空間中O為原點,點P在第一卦限且。已知直線OP與x軸有一夾角為45°,且P點到 y 軸的距離 為 。 試選出點P的 z 坐標 。 (A) (B) (C) (D) (E)
5.坐標平面上有一圖形Γ,其方程式為(x-1)2+(y-1)2=101。試選出正確的選項。 (A)Γ與x軸負向、y軸負向分別交於(-9,0)、(0,-9) (B)Γ上x坐標最大的點是點(11,0) (C)Γ上的點與原點距離的最大值為 √ 2 + √101 (D) Γ 在 第三象限的點之極坐標可用[9,θ ]表示 , 其中π< θ < (E) Γ經旋轉線性變換後 , 其圖形仍可用一個 不含 xy 項的二元二次方程式表示
6.假設2階方陣所代表的線性變換將坐標平面上三點O(0,0),A(1,0),B(0,1)分別映射到O(0,0),A'(3,√3),B'(-√3,3),並將與原點距離為1的點C(x,y)映射到點 C( x , y ) 。 試選出正確的選項。 (A) 行 列式 = (B) = 2√3 (C) 的夾角為 60° (D) 有可能 y = y ' (E) 若 x<y 則 x ' < y '
7.假設A,B為一拋物線Γ上兩點且其連線段通過Γ的焦點F。設A,F,B在Γ之準線上的投影分 別 為 A', F', B' 。 試選出等於 的選項 。( 注意 : 此示意圖僅說明各點的相關位置,各點間距離關係並不正確) (A) tan∠1 , 其中∠1 = ∠A'F'A (B) sin ∠2 , 其中 ∠2 = ∠AF'F (C) sin ∠3 , 其 中∠3 = ∠A'AF (D) cos∠4 ,其 中∠4 = ∠F'FB (E) tan ∠5 , 其中∠5 = ∠FF'B
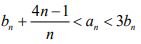
8.假設兩數列,對所有正整數n都滿足。已知, 試選出正確的選項。 (A) (B) (C) 數列有可能發散 (D) < 6.1 (E) > 5.9
12.利用在平面BCFE的投影長為30,可得tan∠AMP= 。( 選填題 )
13.令Q為上一點,滿足平行。利用△ABC、△ACQ為全等三角形,證明若水平面W介於A,P之間且與A的距離為x,則W與此積木所截的矩形區域之面積為 。
14.將線段的n等分點沿著向量的方向依序設為。在每一 個分段,考慮以通過的水平面與此積木所截的矩形為底、為高,所 形成的長方體 。 請利用此切片方法寫下 估計此積木體積的黎曼和 ( 不需化簡 ), 且以定積分形式表示此積木的體積並求其值 。
16.說明f(x)在定義域中遞增、遞減的情況。並說明x為多少時的夾角θ最大。