阿摩線上測驗
登入
首頁
>
高中指考◆數學甲
>
111年 - 111大學入學考試中心_分科測驗:數學甲#109162
> 申論題
申論題
試卷:111年 - 111大學入學考試中心_分科測驗:數學甲#109162
科目:高中指考◆數學甲
年份:111年
排序:0
申論題資訊
試卷:
111年 - 111大學入學考試中心_分科測驗:數學甲#109162
科目:
高中指考◆數學甲
年份:
111年
排序:
0
題組內容
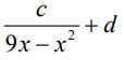
15-17 題為題組
考慮坐標平面上之向量
滿足
= 9以及
= 7。若令
=x, 其中 1< 8 <x ,且令
的夾角為θ,則利用向量
所形成的三角形,可將 cosθ 以 x表示成
,其中 c 、 d 為常數且 c > 0。令此表示式為 f (x) , 且其定義域為 { x|1<x< 8} 。試回答下列問題。
申論題內容
17.利用f(x)的一次估計(一次近似),求當x=4.96時,cosθ約為多少?