題組內容

15-17題為題組
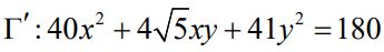
       坐標平面上,設Γ為中心在原點且長軸落在y軸上的橢圓。已知對原點逆時針旋轉θ角(其中 0<θ<π )的線性變換將Γ變換到新橢圓64dd96d314d63.jpg, 點64dd96f966e02.jpg 為 Γ'上離原點最遠的兩點之一。根據上述,試回答下列問題。

16.試求Γ'短軸所在的直線方程式與短軸長。(非選擇題,4分)