所屬科目:研究所、轉學考(插大)◆生化暨分子生物學
1. The significance of the plasma membrane is that: (A) It prevents movement of molecules out of the organism (B) It selectively allows some molecules to pass into the organism (C) It is the site of protein synthesis (D) All of the above
2. The mitochondria is the site of: (A) Lipid synthesis (B) DNA replication (C) Protein synthesis (D) Energy production
3. Which of the followings is the best evidence for the lock and key theory of enzyme action? (A) All isolated enzymes have been identified as proteins (B) Compounds similar in structure to the substrate inhibit enzyme activity (C) Enzymes are found in living organisms and speed up certain reactions (D) Enzymes speed up reactions by definite amounts
4. DNA repair mechanisms are able to distinguish newly synthesized DNA strands from older strands because (A) New strands are methylated while old strands are not (B) New strands do not contain cytosine bases (C) Old strands are methylated while new strands are not (D) Old strands do not contain cytosine bases
5. The advantage to using DNA polymerases from thermophilic organisms in PCR is: (A) The DNA polymerases of these bacteria can withstand the high temperatures needed to denature the DNA strands (B) The DNA polymerases of these bacteria never make mistakes while replicating DNA (C) The DNA polymerases of these bacteria are much faster than those from other organisms (D) The DNA polymerases of these bacteria are unstable
6. Which of the following solutions can be used to denature double-stranded DNA? (A) 1X PBS (B) 0.5N NaOH (C) 1X TAE (D) 1% Triton X-100
7. Which of the following sequences can be detected in any mature mRNA? (A) exon (B) intron (C) nls (nuclear localization sequence) (D) promoter
8. How many protein bands are expected when you run a purified monoclonal antibody with a SDS-PAGE gel and stain with Coomasie brilliant blue? (A) 1 (B) 2 (C) 3 (D) 4
9. Which of the followings is the most proper technique to determine the immature cell populations in patients with acute lymphocytic leukemia? (A) Hemagglutination (B) ELISA (C) Flow cytometry (D) Western blotting
10. Which of the following shoulds be free from bacteria in a healthy individual? (A) Nose (B) Skin (C) Mouth (D) Cerebrospinal fluid
12. Lysozyme and the antibiotic penicillin have similar mechanisms which causing damage to the bacterial (A) Chromosome DNA (B) Ribosome (C) Cell wall (D) Cell membrane
13. Which of the following DNA viruses undergoes genome replication via reverse transcription? (A) Adenovirus (B) Herpes simplex virus (C) Poxvirus (D) Hepatitis B virus
14. Regarding bacteriophages, which of the followings is correct? (A) Lytic bacteriophages never undergo lysogenic cycle (B) Lysogenic bacteria strain can always generate bacteriophage particles upon induction (C) Bacteriophages exhibit host specificity (D) Bacteriophages bring no advantages to their hosts
15. Which of the following reactions does NOT require DNA polymerase? (A) PCR (B) In Vitro transcription and translation (C) DNA replication (D) DNA homologous recombination
16. Polyadenylation (polyA tail) is usually found in which type of RNA molecules? (A) rRNA (B) tRNA (C) siRNA (D) mRNA
17. Sir Frederick Sanger is a British scientist who was awarded Nobel Prize twice. Which of the following statements of him is NOT true? (A)He determined the structure of Insulin. (B)He developed a DNA-sequencing method. (C)He established the hybridoma technology to produce monoclonal antibodies. (D)Some of his graduate students also received the Nobel Prize
18. Please select the appropriate primers to amplify only the coding region of the following gene EXCLUDING the stop codon.5' GCTCGATGGATCCAAACACTGTGTCAAGCTTTCAGGACATACTGCTGAGGATGTCAAAAATGC AGTTGGAGTCCTCATCGG AGGACTTGAATGGAATGATAACACAGTTCGAGTCTCTGAAACTCTACAGAGATTCGCTTGGAG AAGCAGTAATGAGAATGGGAG ACCTCCACTCACTCCAAAACAGAAACGAGAAATGGCGGGAACAATTAGGTCAGAAGTTTGA AGAAATAAGATGGTTGATTGAAG AAGTGAGACACAAACTGAAGATAACAGAGAATAGTTTTGAGCAAATAACATTTATGCAAGCC TTACATCTATTGCTTGAAGTGG AGCAAGAGATAAGAACTTTCTCGTTTCAGCTTATTTAG 3' (A)Primer 1: 5' GCTCGATGGATCCAAACACTGTGTC 3'; Primer 2: 5' CTTTCTCGTTTCAGCTTATTTAG 3' (B) Primer 1: 5' ATGGATCCAAACACTGTGTCAAGC 3'; Primer 2: 5' CTTTCTCGTTTCAGCTTATTTAG 3' (C) Primer 1: 5' GCTCGATGGATCCAAACACTGTGTC 3'; Primer 2: 5' CTAAATAAGCTGAAACGAGAAAGTTC 3' (D)Primer 1: 5' ATGGATCCAAACACTGTGTCAAGC 3'; Primer 2: 5' AATAAGCTGAAACGAGAAAGTTC 3'
19. The consensus sequence for poly(A) addition is (A) The site of poly(A) tail addition (B) AAUAAA (C) Downstream of the cleacage site (D) None of the above
20. Alternative splicing can result in which of the following gene modifications, EXCEPT (A) Production of different mRNA molecules from the same gene (B) Production of different proteins from the same gene (C) Production of same peptide domain (D) Production of two or more proteins with different functional domains
21. Which of the following enzymes is NOT required during mammalian DNA replication? (A) Primase (B) DNA ligase (C) DNA helicase (D) T4 DNA polymerase
22. All of the followings are involved in translation of protein in a cell EXCEPT (A) rRNA (B) siRNA (C) mRNA (D) tRNA
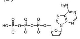
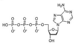
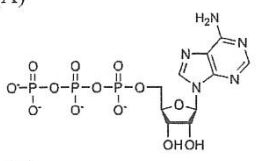
23. Which of the followings is a DNA molecule? (A)(B)(C)(D)
24. Which of the following descriptions of "virus" is INCORRECT ? (A) A virus is a small infectious agent that can replicate only inside the living cells of an organism. (B) A virus is composed of protein coat and nucleic acid. (C) The genetic material of a virus is either a double strand DNA or a single strand RNA. (D) During virus replication, some virus particles may not contain viral genome.
25. Which of the following methods is used to detect the DNA-protein interaction? (A) DNA cloning (B) Electrophoretic Mobility Shift Assay (C) MALDI-TOF analysis (D) Yeast-two-hybrid system
26. In which phase of the cell cycle does the DNA synthesis occur? (A) G1 (B) S (C) G2 (D) M
27. DNA methylation is associated with : (A) CAT box (B) TATA box (C) CpG island (D) Enhancer
28. Which of the following components does NOT participate in protein degradation? (A) Lysozyme (B) Proteasome (C) E3 ligase (D) Ubiquitin
29. Which amino acid has the one-letter symbol R? (A) Lysine (B) Arginine (C) Tyrosine (D) Tryptophan
30. Which of the following sequences is NOT found in pre-mRNA? (A) Promoter (B) Exon (C) Intron (D) Stop Codon
1. consequences
2.efficient
3.accumulate
4.muscles
5.aging
6. replicating
7. errors
8. alterations
9. subsequent
10.contribute