所屬科目:研究所、轉學考(插大)◆生化暨分子生物學
1. Which of the following descriptions is NOT correct for characteristics of viruses belonging to the family Flaviviridae? (A) Genome contains a single-stranded positive-sense RNA (B) RNA-dependent RNA polymerase is required for replication of viral genome (C) Chikungunya virus is the virus belong to this family (D) The virus mainly replicates in the cytoplasm of infected cells.
2. Which of the following structures cannot be found in prokaryotic cells? (A) Cell Wall (B) Nucleus (C) Cell membrane (D) Plasmid
3. Gene transfer from parent to child is called: (A) Horizontal transmission (B) Vertical transmission (C) Transformation (D) Transduction
4. Which of the followings uses RNA as its genetic material? (A) Poliovirus (B) Hepatitis B virus (C) Poxvirus (D) Herpesvirus
5. Which of the followings is a poor target for antiviral drugs? (A) Virion assembly (B) Protein synthesis (C) Uncoating of the virus (D) Viral attachment
6. Which of the following characteristics is not the current mean of classification for viruses? (A) Morphology (B) Type of genome (C) Means of replication (D) Diseases
7. Which of the followings is the hypervariable region in a typical antibody molecule? (A) (B) (C) (D) hinge
8. In order to examine the size of plasmid DNA fragments, the most proper gel material is (A) agarose (B) nitrocellulose (C) polyacrylamide (D) starch
9. Which of the following descriptions is correct for RNA polymerase II? (A) use DNA as template. (B) is one of reverse transcriptases. (C) still has enzyme activity at 90 °C. (D) uses RNA as template.
10. Genetic variation can be introduced into bacteria through all of the following processes except: (A) Transduction (B) DNA amplification (C) Transformation (D) Mutation
11. Which of the following proteins/complexes NOT a requirement for protein synthesis? (A) Spliceosome (B) Ribisomes (C) Peptidyl transferase (D) Amino acyl-tRNA synthetase
12. The estrogen receptor regulates gene expression through its binding to DNA only as it is recruited into a complex with estradiol. Therefore, the estrogen receptor is considered to be: (A) An alternative sigma factor (B) A specific transcription factor (C) A general transcription factor (D) An enhancer sequence
13. Which of the following descriptions of CRISPR-Cas system is INCORRECT ? (A) CRIPSR is like an immune system in the bacteria to invade pathogen infections (B) It is applied potentially to edit germline cells for gene therapy (C) Cas9 targets a specific DNA sequence to make a cut across both strands of the DNA via a IncRNA (D) Off-target is the biggest issue that should be considered as CRISPR is used in gene therapy
14. Which of the following statements is NOT true regarding the Kozak sequence? (A) It is a sequence which occurs on eukaryotic mRNA (B) It plays a major role in the initiation of the transcription process (C) It plays a major role in the initiation of the translation process (D) The sequence is recognized by the ribosomes
15. Which of the following statements is True regarding Cas9? (A) It was first found in virus (B) It was first found in parasite (C) It is a RNA endonuclease (D) It is a DNA endonuclease
16. Which of the following statements is True regarding the stacking gel used in SDS-PAGE? (A) It has a high pH relative to that of the resolving gel (B) It is usually located at the bottom of the resolving gel (C) It has a lower polyacrylamide concentration than that of the resolving gel (D) Its pH value is normally pH8.8.
17. ELISA is the abbreviation of Enzyme-linked immunosorbent assay. Which of the following enzymes is NOT routinely used for ELISA? (A) alkaline phosphatase (B) glucose 6-phosphate dehydrogenase (C) Taq DNA polymerase (D) horseradish peroxidase
18. Which of the following statements about Western Blotting is CORRECT ? (A) The detection of a particular protein by Western Blotting relies on labelling the protein with a specific dye (B) The detection of a particular protein by Western Blotting relies on labelling the antibody with a specific dye (C) The detection of a particular protein by Western Blotting relies on the very specific interaction between the protein and its antibody (D) The detection of a particular protein by Western Blotting relies on the denaturation of the protein
19. Which reaction in DNA replication is catalysed by DNA ligase? (A) Addition of new nucleotides to the leading strand (B) Addition of new nucleotides to the lagging strand (C) Base pairing of the template and the newly formed DNA strand (D) Formation of a phosphodiester bond between the 3'-OH of one Okazaki fragment and the 5'-phosphate of the next on the lagging strand
20. Which of the following statements regarding splicing of eukaryotic mRNA transcripts is CORRECT ? (A) Exons are spliced out and introns are retained in the mature mRNA transcript (B) Small nuclear RNAs are retained in the mature mRNA transcript (C) Several reactions in the splicing process involve hydrolysis of ATP (D) Splicing takes place in the cytosol
21. Which of the following enzymes is NOT required during mammalian DNA replication? (A) T4 DNA polymerase (B) DNA ligase (C) DNA helicase (D) Primase
22. All of the followings are involved in translation of protein in a cell EXCEPT (A) rRNA (B) siRNA (C) mRNA (D) tRNA
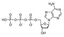
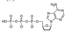
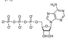
23. Which of the followings is a DNA molecule? (A)(B)(C)(D)
24. In which phase of the cell cycle does DNA replication occur? (A) GO (B) G1 (C) S (D) M
25. DNA methylation is associated with: (A) CAT box (B) CpG island (C) TATA box (D) enhancer
26. One of the strong pieces of evidence for the process of gene duplication and mutation is the occurrence of (A) pseudogenes. (B) introns. (C) transposons. (D) heterochromatin.
27. As the two strands of DNA are unraveled, an enzyme relieves the strain on the two strands. The enzyme is (A) DNA ligase. (B) DNA gyrase (C) DNA polymerase (D) DNA endonuclease
28. If a virus is latent, it (A) cannot be a retrovirus. (B) is easy to develop immunity against it. (C) has not entered a lytic cycle. (D) is gaining a new envelope via "budding"
29. Both DNA and RNA are made up of building blocks known as (A) genes (B) nucleotides (C) amino acids (D) base pairs
30. Which of the following procedures can eliminate all bacteria species? (A) Pasteurization (B) Filtration through 0.45 µm filter (C) Autoclave (D) All of the above
31. When you run a DNA agarose gel, the dye can be used to stain double-stranded DNA is (A) Coomasie brilliant blue (CBB) (B) Ethidium bromide (EtBr) (C) Fluorescein (FITC) (D) Hematoxylin/eosin (HE)
32. Monoclonal antibodies CANNOT be used for (A) Plasmid cloning (B) ChIP assay (C) ELISA (D) Western blotting
33. Which drug interferes with peptidoglycan synthesis in prokaryotes? (A) erythromycin (B) penicillin (C) kanamycin (D) chloramphenicol
34. Which of the following descriptions is NOT true for plasmids? (A) Plasmid are found in bacteria (B) Plasmids are usually circular (C) Plasmids are found in eukaryotes (D) Plasmid are found in archaea
35. Which of the following techniques is used to study the interaction between DNA and protein? (A) DNA footprinting (B) Electrophoretic mobility shift assay (C) Chromatin immunoprecipitation assay (D) All of the above
36. Which of followings is the template of reverse transcriptase? (A) single-strand DNA. (B) single-strand RNA. (C) double-strand DNA. (D) double-strand RNA.
37. What is the role of Kozak sequence? (A) Initiation of RNA transcription (B) Ribosomal binding site (C) Initiation of protein translation (D) Transcription factor binding site
38. Protein A-conjugated agarose is commonly used to perform immune precipitation (IP) experiment because it can bind to antibody molecules through (A) Fab region (B) Fc region (C) hinge region (D) None of the above.
39. Which of the followings is involved in the processes of protein folding? (A) Hydrogen bond formation (B) Disulfide bond formation (C) Binding of heat shock proteins (D) All of the above
40. Which statement is correct for the chromatic remodeling process? (A) It is a spontaneous process that does not require the energy. (B) It confers the displacement and reorganization of nucleosomes that occurs in coordination with the activation of gene transcription. (C) It often coordinates with the initiation of translation. (D) The chromatin remodeling complex itself has the specificity that determines the particular target for transcription.
(1)
(2)
(3)
(4)
(5)
(6)
(7)
(8)
(9)
(10)