所屬科目:研究所、轉學考(插大)◆生化暨分子生物學
1. Agarose gel electrophoresis separates DNA based on it's (A) charge (B) structure (C) size (D) sequence
2. Which of the following enzymes is NOT required during mammalian DNA replication? (A) Primase (B) T4 DNA ligase (C) DNA helicase (D) DNA polymerase
3. All of the followings are involved in protein translation EXCEPT (A) mRNA (B) rRNA (C) tRNA (D) siRNA
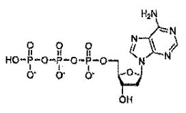
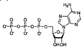
4. Which of the following is a RNA molecule? (A)(B) (C)(D)
5. Which of the following descriptions of "virus" is INCORRECT ? (A) A virus is a small infectious agent that can replicate only inside the living cells of an organism. (B) A virus is composed of protein coat and nucleic acid. (C) The genetic material of a virus is either a double-stranded DNA or a single-stranded RNA. (D) During virus replication, some virus particles may not contain viral genome.
6. Which of the following methods is used to detect the DNA-protein interaction? (A) DNA cloning (B) Electrophoretic Mobility Shift Assay (C) MALDI-TOF analysis (D) Yeast-two-hybrid system
7. During which stage of the cell cycle does chromosome segregation occur? (A) G1 (B) S (C) G2 (D) M
8. DNA hypermethylation is often associated with (A) gene mutation (B) gene activation (C) gene translocation (D) gene silencing
9. One of the strong pieces of evidence for the process of gene duplication and mutation is the occurrence of (A) introns. (B) transposons. (C) pseudogenes. (D) heterochromatin.
10. If you want to prepare a denaturing protein gel for electrophoresis, you need to have the followings:
i. polyacryamide
ii. TEMED
iii. ammonium sulfate
iv. SDS (A) i and ii (B) ii and iii (C) iii and iv (D) All
11. What is the role of the Kozak sequence? (A) Initiation of RNA transcription (B) Initiation of protein translation (C) The ribosomal binding site (D) A transcription factor binding site
12. Which one-letter symbol represents the amino acid lysine? (A) K (B) L (C) R. (D) S
13. Which of the following sequences is NOT found in a mature mRNA? (A) UTR (B) Exon (C) Intron (D) Stop Codon
14. All of the followings are proteins within the core nucleosome EXCEPT (A) H1 (B) H2A, 2B (C) H3 (D) H4
15. Which of the following is a stop codon? (A) AAG (B) TAG (C) CAG (D) GAG
16. Which of the following statements is NOT true regarding Taq DNA polymerase? (A) Low fidelity. (B) optimum temperature for activity is 75-80°C. (C) is a thermostable DNA polymerase 1. (D) possess 3' to 5' exonuclease proofreading activity.
17. Which of the following scientists is NOT associated with the discovery of the double-helix model of DNA? (A) James Watson (B) Kary Mullis (C) Francis Crick (D) Rosalind Franklin
18. All of the followings pertain to mitosis EXCEPT : (A) new cells receive one copy of each parent cell chromosome (B) Preceded by DNA replication (C) Results in gamete production (D) Spindle apparatus guides chromosome movement
19. The use of the antibiotics that inhibit or inactivate cellular ribosomes will result directly in the loss of which of the following functions: (A) ATP production (B) DNA replication (C) Phagocytosis (D) Protein synthesis
20. Creutzfeldt-Jakob disease (CJD), Kuru, scrapie, and mad cow disease are caused by (A) RNA viruses (B) Retroviruses (C) DNA viruses (D) Prions
21. Chloroplasts are organelle that actively carry out photosynthesis. Which of the following is NOT a characteristic of them? (A) Are found in plant and algal cells (B) Are found in photosynthetic prokaryotic cells (C) Are membrane enclosed (D) Contain the pigment chlorophyll
22. Which of the following statements is correct for novel coronavirus 2019? (A) It codes for RNA-dependent RNA polymerases. (B) Its genome is a template for mRNA. (C) It is enveloped and cannot survive in the gastrointestinal tract. (D) It has early and late genes
23. Which of the following statements is incorrect for retroviruses? (A) The virions contain two identical copies of the positive-strand RNA genome. (B) Polymerase activity is not found in the virion. (C) Some of them produce tumors in the infected animals. (D) Retroviruses include human immunodeficiency virus (HIV).
24. Phage-mediated horizontal gene transfer is known as: (A) Transformation (B) Transduction (C) Transposition (D) Conjugation
25. Which of the following descriptions for bacterial chromosome is NOT true? (A) Usually circular (B) Presence of introns (C) Single replication origin (D) Usually haploid
26. Bacterial transcriptional start site is (A) Shine-Dalgarno sequence (B) Ribosome-binding site (C) Encoding for Methionine (D) also known as +1
27. Which of the following techniques can be applied to detect the percentage of T cells in leukemia patients? (A) ELISA (B) Flow cytometry (C) DNA gel electrophoresis (D) Western blotting
28. Which of the following is the first type of antibody detected upon virus infection? (A) IgA (B) IgE (C) IgG (D) IgM
29. The usage of monoclonal antibodies is NOT required for (A) DNA agarose gel analysis (B) Enzyme-linked immuno-sorbent assay (C) Immunohistochemistry (D) Western blotting
30. In order to examine the size of a protein, the most proper gel material is (A) agarose (B) nitrocellulose (C) polyacrylamide (D) starch
31. Which of the following descriptions is correct for DNA polymerase? (A) binds to promoter regions (B) binds to enhancer regions (C) usually functions well at 4°C (D) uses RNA as template
32. Which of the following statements is correct regarding splicing? (A) smURFs are used to recognize the poly A tail and initiate slicing (B) snRNPs are the protein product of U rich RNAs that partially complement the 5' splice junction. (C) CPSFs are products of RNA sequences designed to recognize the 3'OH at the splice site. (D) PABIII recognizes the A rich sequences at the 5' end of the splice site.
33. The function of the TATA box is (A) to form a hairpin for RNA transcription termination. (B) to terminate active RNA transcription. (C) to recognize the subunit and correctly line up the RNA polymerase. (D) to provide a binding location for the Rho protein.
34. Class I and Class II aminoacyl-tRNA synthetases differ in their
I. structural motifs.
II. anticodon recognition.
III. site of aminoacylation.
IV. amino acid specificity. (A) I only (B) II only (C) II,III, IV (D) I, II, III, IV
35. Which of the following is NOT associated with eukaryotic translation initiation? (A) Shine-Dalgarno sequence (B) a formylated Met--tRNA met (C) base pairing between the mRNA and 16S rRNA (D) all of the above
36. During translation, translocation of the ribosome is driven by which of the following? (A) GTP-GDP + P (B) ATP ADP + P<sub>i</sub> (C) ATP AMP + PP<sub>i</sub> (D) Release of the tRNA in the P site
37. Which of the following is correct? (A) Transfer of genetic information via direct cell-cell contact is called transfection. (B) Specialized transduction can be carried out by any bacteriophage. (C) Transformation has been observed in only a limited number of bacteria in nature, but we have found ways to force the process upon other species in the laboratory. (D) All of above
38. Which set of forward and reverse primers will be appropriate to amplify the following gene? ATGGATCCAAACACTGTGTCAAGCTTTCAGGACATACTGCTGAGGATGTCAAAAATGCAGTT GGAGTCCTCATCGGGGGACTTGAATGGAATGATAACACAGTTCGAGTCTCTGAAACTCTACA GAGATTCGCTTGGAGAAGCAGTAATGAGAATGGGAGACCTCCACTCACTCCAAAACAGAAA CGAGAAATGG GGAACAATTAGGTCAGAAGTTTGAAGAAATAAGATGGTTGATTGAAGAA GTGAGACACAAACTGAAGATAACAGAGAATAGTTTTGAGCAAATAACATTTATGCAAGCCTT ACATCTATTGCTTGAAGTGGAGCAAGAGATAAGAACTTTCTCGTTTCAGCTTATTTAG (A) ATGGATCCAAACACTGTGTCAAGC; CTTTCTCGTTTCAGCTTATTTAG (B) ATGGATCCAAACACTGTGTCAAGC; CTAAATAAGCTGAAACGAGAAAG (C) GCTTGACACAGTGTTTGGATCCATT; CTAAATAAGCTGAAACGAGAAAG (D) GCTTGACACAGTGTTTGGATCCATT; CTTTCTCGTTTCAGCTTATTTAG
39. Which of the following techniques is used to identify protein-protein interactions? (A) Northern blot analysis (B) Southern blot analysis (C) Western blot analysis (D) Yeast-two-hybrid system
40. Which of the following enzymes is used to generate complimentary DNA from RNA? (A) Klenow fragment (B) Reverse transcriptase (C) Taq polymerase (D) T4 DNA polymerase
41. Ubiquitin is a molecule involved in which of the following cellular processes? (A) Protein modification (B) RNA splicing (C) DNA degradation (D) Lipid synthesis
42. Elongation of telomeres by the enzyme telomerase and the processing of pre-mRNA to mRNA by the spliceosome share which of the following characteristics? (A) Both processes require double-stranded DNA for enzyme function. (B) Both processes require an RNA component for enzyme function. (C) Both processes require protease activity. (D) Both processes occur primarily in cytoplasm.
43. If cycloheximide is added to the cells, then (A) the DNA synthesis will be blocked. (B) the RNA synthesis will be blocked. (C) the protein synthesis will be blocked. (D) the ATP synthesis will be blocked.
44. Which of the following statements most accurately describe the glycosylation of a protein? (A) Glycosylation decreases the thermal stability of a protein (B) Glycosylation increases the thermal stability of a protein (C) Glycosylation decreases the proteolytic cleavage of a protein (D) Glycosylation increases the proteolytic cleavage of a protein
45. Which of the following statements is TRUE regarding the stacking gel used in SDS-PAGE? (A) It has a high pH relative to that of the resolving gel (B) It is usually located at the bottom of the resolving gel (C) It has a lower polyacrylamide concentration than that of the resolving gel (D) Its pH value is normally pH8.8.
1. determine
2.progression
3. instead
4. consequences
5.susceptible
6.infections
7.created
8.probe
9. various
10. signals