所屬科目:通信系統
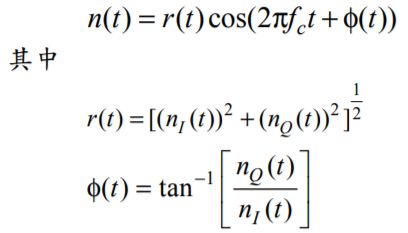
⑶ n(t ) 亦可表示為 求 r (t ) 及 φ(t )取樣值之機率密度函數 f R (r ) 及 f Φ ( φ()。(10 分)
⑴證明 X (t ) 之自身相關函數 RX (τ ) 可表示為
其中 Rm = E [ak ak + m ], p (t )dt。(6 分)
⑶以曼徹斯特碼(Manchester code)為例,求其S X ( f )。(7 分)
⑴假設 求 n 之期望值 mn、變異數 及機率密度函數 f N ( n ) 。(6 分)
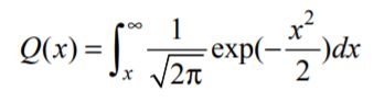
⑵假設傳送端送出符元 1 及符元 0 之機率相同,求同調二位元 PSK 系統 之位元錯誤率 PE,並以下列之 Q 函數表示之: (14 分)