題組內容
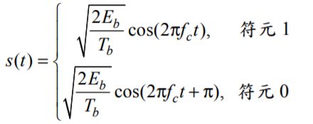
四、在一個同調二位元 PSK 系統中,符元 1 及 0 被調變為
其中 0 ≤ t ≤ Tb , Eb 為每位元之能量。假設
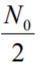
接收器之方塊圖如下圖。通道之雜訊為相加性白色高斯雜訊 w(t),其平 N 均值為零,雙邊帶功率頻譜密度為
。
⑵假設傳送端送出符元 1 及符元 0 之機率相同,求同調二位元 PSK 系統 之位元錯誤率 PE,並以下列之 Q 函數表示之:
(14 分)
四、在一個同調二位元 PSK 系統中,符元 1 及 0 被調變為
其中 0 ≤ t ≤ Tb , Eb 為每位元之能量。假設
接收器之方塊圖如下圖。通道之雜訊為相加性白色高斯雜訊 w(t),其平 N 均值為零,雙邊帶功率頻譜密度為
。
⑵假設傳送端送出符元 1 及符元 0 之機率相同,求同調二位元 PSK 系統 之位元錯誤率 PE,並以下列之 Q 函數表示之:
(14 分)