所屬科目:高中◆資優◆物理
2. 某生以完全相同的兩顆理想電池分別連接 歐姆與 歐姆的電阻器加熱 A、B 兩絕熱容器中的水,他量得 A、B 兩容器中的水上升 2oC 所需之時間,分別為 2 分鐘與 3 分鐘。若將 A、B 混合於絕熱容器 C 中,且將 與 串聯,兩顆理想電池串聯,則混合後 C 容器中的水上升 4℃ 需多少分鐘? (A) (B) (C) (D) (E) 。
3. 有一子彈瞄準圓心,穿過一個半徑 2m 正在作每秒 100 轉的圓筒,假設子彈速度在穿過圓筒時不受影響。子彈穿過 後檢視圓筒只出現一個彈孔,已知某子彈速度在 150m/s~200m/s,求子彈的速度為多少 m/s? (A)155 (B)160 (C)165 (D)170 (E)180 。
4. 兩個材料完全相同的木塊,質量分別為 M=2 kg、m=1kg,當兩者前後相距 20m 且以相同的初速度 10m/s 向右滑行 進入一動摩擦系數= 0.1 的粗糙平面,當前方的 m 木塊停下時,後方的 M 木塊距 m 木塊多少公尺?木塊大小可 忽略,重力加速度 g=10 m/s2(A)0.8 (B)1.2 (C)1.6 (D)2.0 (E)2.4 。
5. 已知某行星繞太陽公轉及自轉方向皆為逆時針方向且旋轉軸心互相平行,若行星公轉 週期為 T1 自轉週期為 T2 且 T1>T2,求當行星以 A 點正對著太陽之後,每隔多久會再次正對太陽? (A) (B) (C) (D) (E) 。
6. 由均勻電阻線所接成的圖形中,最大的正方形邊長 4 公分,最小的正方形 1 公分,每 公分長的電阻線電阻值皆為 1 歐姆,則由 A、B 端測量總電阻為多少歐姆? (A) (B) (C) (D) (E)
7. 有一台車及質量相同的五個砝碼,今將一個砝碼掛在定滑輪下方,在光滑水平 桌面上的滑車加速度為 1m/s2,若將五個砝碼全掛在定滑輪下方,則滑車加速度 為多少 m/s2?重力加速度 g=10 m/s2 (A) (B) (C) (D) (E) 。
9. U 型玻璃管之截面積 2.0 cm2,一端封閉充滿氣體,如圖所示,氣柱長 10 cm,而右管水銀面比左管高出 25 cm,設 大氣氣壓為 75 cm 水銀柱,今想讓左管之水銀面上升 2.0 cm,則需在右管加入__________ cm3 之水銀方能平衡。 (A)58 (B)56 (C)54 (D)52 (E)50 。
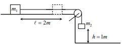
10.如圖,m1 = 3 kg,m2 = 1 kg,不計繩之質量及滑輪之摩擦,由圖示位置釋放,測得 m1 在桌面上移動 = 2 m 後即停止運動,求 m1 與桌面間之動摩擦係數? (A) (B) (C) (D) (E)
11.某連續週期波,波向右前進,且週期 0.1 < T < 0.3 秒。當由圖(a)變成圖(b),歷時 0.25 秒時,則此波之最大波速為? (A) 0.4 m/s(B) 2.0 m/s(C) 3.6 m/s(D) 5.2 m/s (E) 6.8 m/s。
12.如圖所示,定力 F 通過滑輪拉細繩,使木塊在光滑水平桌面上滑動,木塊質量為 m,當其滑動距離為 S 的瞬間,速 ?s ?s 2?s 4?s 度大小為? (A) Fs (B) (C) (D) (E) 。
13.如下圖有一作等加速度直線運動的物體,依次通過 A、B、C 三點,其中 。已知物體在段的平均速度為 6m/s,在段的平均速度為8m/s, 則物體在 B 點的瞬時速度為? (A) 6.8 m/s(B) 7 m/s(C) 7.2 m/s(D) m/s(E) m/s。
14.如右圖所示,將一條輕而柔軟的細繩一端拴在天花板上的 A 點,另一端拴在豎直牆上的 B 點, A 和 B 到 O 點的距離相等,繩的長度是 OA 的兩倍,現若將一重量為 W 的重 物,透過一不計質量的鉤掛 在繩上,忽略鉤與繩之間的摩擦,則在達到平衡時,繩之張力為何? (A) (B) (C) (D)W (E) 2W
15.一百葉窗片由 n 張葉片製成(葉片厚度不計),當掛下時,每張葉片相距 S,若每片重 W,則將窗簾全部拉上時,共做功多少? (A) ∙ w ∙ s (B) (n − 1)n ∙ w ∙ s (C) (n − 1)n ∙ w ∙ s (D) (n + 1)n ∙ w ∙ s (E) n2 ∙ w ∙ s
16.如下圖中,將質量為 100 g 的小球自高度為 10 m 的 A 點以 16 m/s 的初速斜拋出去,落回地面時的速率為 20 m/s,求空氣阻力所作的功?( g=10m/s2 ) (A) 2.8 (B) 7.2 (C) 17.2 (D) −2.8 (E) −7.2
18.載電流 i 的正方形線圈,擺在均勻磁場內,如右圖所示。在圖中所示的五個軸中 (虛線所示, e 為穿出紙面的軸),此線圈可繞哪些軸轉動? (A) a (B) b (C) c (D) d (E) e 。
20.兩個電熱器的規格為 A (110V,500W)、B (110V,1000W)。今將兩者串聯後接上 220 V 的電源,則兩電熱器 (A)電阻 =2:1 (B)電位差 = 1:2 (C)生熱功率 =2:1 (D) A 電器的生熱功率為其正常使用 時的 4/3 倍 (E) B 電器的電流為其正常使用時的 2/3 倍