所屬科目:普通物理與普通化學
2 一部車繞過一傾斜 β 角度的彎道,不需靠摩擦力,其最高速度為 ν,此彎道的曲率半徑設計為 R,如 附圖所示。請問彎道傾斜角 β 應該為何? (A) (B) (C) (D)
4 一顆子彈質量 8.0 公克射入一塊質量 0.992 公斤的木塊,該木塊連結一螺旋彈簧靜置在一無摩擦的水 平面上,子彈射入木塊後一起壓縮彈簧 15.0 公分,如附圖。已知使用 0.75 牛頓的力可以壓縮彈簧 0.25 公分。請問該子彈的起始速度為何? (A) 325 m/s (B) 300 m/s (C) 2.6 m/s (D) 17.3 m/s
6 一根正方形截面邊長 2.0 公分,長度 20.0 公分的銅棒(Copper, 熱傳導率 kCu=385 W/(m‧K))與一根 正方形截面邊長 2.0 公分,長度 10.0 公分的鋼棒(Steel, 熱傳導率 kS=50.2 W/(m‧K))平行分開並立如 附圖。銅棒與鋼棒的一端溫度為 TH=100℃的蒸氣;銅棒與鋼棒的另一端溫度為 TC=0℃的冰塊。請問 這兩根棒子(銅棒+鋼棒)的總熱流率為多少瓦? (A) 97.1 W (B) 15.9 W (C) 77.0 W (D) 20.1 W
7 依據理想氣體動力論,理想氣體粒子的平均移動動能<Ktr>與氣體之溫度(T)有正比關係,若以理想氣 體粒子的根均方速率(Vrms)代表平均移動動能<Ktr>,對一質量 m 的理想氣體粒子,其根均方速率(Vrms) 應為下列何者?提示:k 為波爾茲曼常數。 (A)kT (B) (C) (D)
9 一空間電荷 Q 發出電力線穿過距離 R 所包覆的空間球面積 A 稱為電通量(electric flux), ε0代表空間介電率,下列何者為電通量的表示式? (A) (B) (C) (D)
11 忽略下列電路圖中電池的內阻,請計算流過 10.0 V 電池的電流? (A) 0.333 A (B) 0.250 A (C) 0.583 A (D) 0.083 A
12 一個直徑 6.50 cm 的表面絕緣圓環流過 12.0 A 的電流並且與一長而表面絕緣的直線相切,該直線帶有10.0 A 的電流,如下圖所示。請問由直線與圓環共同在圓環中心所建立的總磁場大小及方向為何?提示:自由空間的導磁率 μ0=4π✕10-7 Tm/A (A) 6.15✕10-5 T,垂直向紙面內 (B) 2.32✕10-4 T,垂直向紙面外 (C) 2.94✕10-4 T,垂直向紙面內 (D) 1.70✕10-4 T,垂直向紙面外
13 可見光之紫光波長(λ)400 nm 與紅光波長 700 nm 在鑽石內之折射率分別為 nv=2.46 與 nr=2.41。空氣 (折射率為 1.0)中之可見光射入鑽石表面的入射角θi=53.5°(與垂直鑽石表面之法線之夾角),請計算 紫光與紅光在鑽石內兩折射角之差? (A) 0.41° (B) 19.48° (C) 19.07° (D) 10.41°
14 一物體(Object)高度 3.25 mm 距一薄透鏡(Lens)16.0 cm 前成像(Image),成像位置離物體距離6.0 cm,其相對位置如下圖。請問成像的高度為何?是虛像還是實像? (A) 1.38 mm,正立實像 (B) 4.48 mm,正立虛像 (C) 6.48 mm,正立虛像 (D) 5.87 mm,正立實像
15 一小球由垂直方向自由落下,在撞到靜止的三角形平台前那一剎那,速度為 10 m/sec。三角平台兩邊 角度為 45 度,小球撞擊後速度方向為水平方向。假設彈性碰撞,地板無摩擦力,小球和平台質量相 同,則碰撞後那一瞬間小球速度為? (A) 10 m/sec (B) 7.1 m/sec (C) 5 m/sec (D) 2.5 m/sec
16 一彈簧原本伸長量為零,連接兩個質量都為 m 的木塊,如圖所示。由於重力,彈簧將開始伸長。當彈 簧伸長量為 h 的時候,木塊速度為?(彈簧彈力係數 k,重力加速度 g,忽略滑輪質量) (A) (B) (C) (D)
17 一均勻圓柱質量 M,置於一傾斜角為θ的斜面上。圓柱纏繞著細線,於圓柱上端沿著斜面方向施予 T 的力,此時圓柱達到靜力平衡。則 T 的大小為?(g 為重力加速度) (A) (B)Mg sinθ (C) (D)Mg tanθ
18 玻璃鏡片表面度上一層 SiO2薄膜(n=1.45)可用來防止光的反射。玻璃(Glass)折射率 n=1.60,光 在空氣(Air)中的波長 580 nm,則在垂直入射的情況下,SiO2薄膜的厚度為何可讓光的反射量最低? (A) 145 nm (B) 290 nm (C) 580 nm (D) 100 nm
19 在繩子上傳遞的縱波其波函數可寫成 y(x , t)=2sin(πx+ 6πt ),y 表繩上的質點在 y 方向的位移。x 和 y 的單位是 m,t 單位是 sec。請算出在 x=1 m, t=0.5 sec 時,繩上的一個質點在 y 方向的速度(m/sec)。 (A)-6 (B)12π (C)0 (D)1
20 一容器置入單原子理想氣體(定壓定容比熱比值γ=5/3),中間以絕熱活塞隔成體積壓力溫度都一樣的 兩個空間。左邊開始使用加熱棒緩慢加熱,右邊空間因左邊的擠壓而體積變小,平衡時兩邊壓力都達 到原壓力的 32 倍。此時兩邊溫度比 T1:T2=?(溫度為凱氏溫度 K,右邊空間為絕熱系統和外界無熱交換) (A) 32:1 (B) 8:1 (C) 1:1 (D) 15:1
21 單原子理想氣體(定壓定容比熱比值γ=5/3),歷經 a→b→c 的過程,如 PV 圖所示。若氣體在 a 點的 溫度為 300 K,則 b→c 過程中,氣體從外界吸收多少熱量? (A) 2000 joule (B) 3000 joule (C) 4000 joule (D) 5000 joule
22 學生用一個電壓計及一個電流計來測量一未知電阻,由電壓計讀值除以電流計讀值得到待測物的電 阻,線路如下圖所示。若電壓計電阻為106 Ω,電流計電阻為1 Ω,待測電阻實際大小為100 Ω,則學生 測得的電阻誤差百分比為?(誤差百分比定義:) (A) 0.1% (B) 0.0001% (C) 1% (D) 0%
23 一均勻帶電球殼半徑 R,總帶電量 Q,則此球殼所具有的總電能為?(也就是將這些電荷從無窮遠處 移過來形成此電荷分布所需總能量) (A)(B) (C) (D)無限大
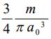
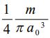
24 氫原子 1S 軌域電子的波函數為: ,a0 為波耳半徑。則 1S 電子雲在原子核附近的密度(=質量/體積)為?(電子質量為 m) (A)(B) (C) (D)
25 都普勒效應(Doppler Effect)可用來偵測移動車輛的速度。如圖所示,靜止車輛射出聲波,頻率為1550 Hz,聲波由移動的車輛反射,經靜止的車輛測量得到頻率變成1850 Hz。空氣中的聲速為340 m/s,則移動車輛的速度為? (A) 66 m/s (B) 30 m/sec (C) 55 m/s (D) 150 m/s
37 分解反應 2 N2O5(g)→4 NO2(g)+O2(g)為一級反應。在一密閉容器中置入 0.8 atm 之氣態 N2O5,經過200 秒後 N2O5之分壓減為 0.2 atm。在相同反應條件下,以不同初始 N2O5分壓重複此一實驗,若 N2O5的分壓由 1.0 atm 減為 0.125 atm,需要多少時間? (A) 100 秒 (B) 200 秒 (C) 300 秒 (D) 400 秒
38 考慮平衡反應 A(s)+2 B(g)⇌C(g)+2 D(g) △H<0。下列選項,何者可以提高生成產物 C 之產率? (A)加入催化劑 (B)提高系統壓力 (C)加入更多反應物 A (D)降低反應之溫度
44 已知 A、B 兩種溶劑混合時為放熱反應,下列那張圖最可能是 A、B 混合溶劑之蒸氣壓與 B 的莫耳分 率間之關係圖? (A) (B) (C) (D)
50 石墨的燃燒熱為 △H = -394 kJ mol-1,鑽石的燃燒熱為 △H = -396 kJ mol-1。將 10 莫耳的石墨轉化為 鑽石時,反應熱為多少? (A)△H = 20 kJ (B)△H = -20 kJ (C)△H = 2 kJ (D)△H = -2 kJ