所屬科目:普通物理與普通化學
1 如下圖所示,一顆球從斜坡上滾下並以一定的水平速度 v 離開桌面。如果桌面至地面的高度是 h,而且忽略空氣阻力的影響,請問這顆球在水平方向上會在距離桌緣多遠的地方 x 落到地面?(重力加速度為 g)(A)(B)(C)(D)
2 假設地球質量、半徑 R。物體 1 的質量為 m,由火箭將其從地球表面推升至距地表高度為 R 之處, 其重力位能改變量為△U1。物體 2 的質量為 2m,原本位於距離地表 2R 高度之軌道上,由火箭將其推升至距地表高度為 3R 之軌道,其重力位能改變量為△U2。請問△U1:△U2等於多少?(A)3:1 (B)3:2 (C)1:2 (D)1:3
3 如下圖所示,物體 A 以速度= 5.0 m/sec 向右撞擊靜止的物體 B,物體 A 與物體 B 質量分別為 3.0 kg 與 2.0 kg,桌面光滑無摩擦力,物體 B 左側連接一彈簧,其力常數 k = 3000 N/m,彈簧質量可忽略。物體 A 與物體 B 接觸時,彈簧會先被壓縮,然後再分離彈開 A、B 兩物體。請問在彈簧被壓縮到最短時,其長度變化量是多少? (A)縮短 10 cm (B)縮短 12 cm (C)縮短 15 cm (D)縮短 20 cm
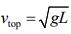
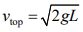
4 如下圖所示,有位小朋友在玩溜溜球,使其進行垂直地面的圓周運動,假設溜溜球質量為 m,繩長為 L,重力加速度 g,溜溜球在最高點的瞬間速率是。請問若要維持溜溜球做圓周運動,的最小值是多少? (A) (B) (C) (D)
6 在一個遊樂園裡,有一個遊樂設施是由一個中空圓柱形結構組成。遊客靠著圓柱的內壁站立,當圓柱開始旋轉且達到一定角速度時,遊客可以將腳抬起,僅憑背部的靜摩擦力維持在牆上不掉落。已知遊客的質量為 m,圓柱的半徑為 r,遊客與圓柱內壁之間的靜摩擦係數為 µ,求使遊客不滑落所需的圓柱最小角速度 ω。(重力加速度為 g) (A) (B) μrg (C) (D)
8 一顆質量為 8.0 公克的子彈射入一個質量為 4.0 公斤的木塊中,該木塊原本靜止於一個無摩擦的水平 面上(見下圖)。子彈停留在木塊內,兩者結合後一起移動,並撞壓一個固定的理想輕彈簧,使其壓縮了 2.0 公分。該彈簧的力常數為 2500 牛頓/公尺。請問子彈的初速度大約是多少? (A) 250 m/s (B) 25000 m/s (C) 2.5 m/s (D) 2500 m/s
14 聲音的大小常用「分貝」這個度量來表示,其中 0 分貝代表聲音強度 I0 =W / m2 。請問聲音 是 50 分貝時,其強度 I 是多少? (A) I =W/m2 (B) I =W/m2 (C) I = W/m2 (D) I =W/m2
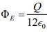
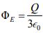
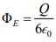
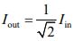
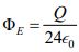
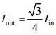
17 如下圖所示,電荷 Q 放置於正立方體的一個角落,正立方體邊長為 L,請計算通過灰色截面的電通量。 (A) (B) (C) (D)
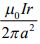
19 如下圖所示,一條同軸電纜,由內部直徑為 2a 的實心導體和外部直徑為 2b 且厚度為 c 的中空導體組 成。這兩部分導體都帶有大小相等但方向相反的均勻分布電流 I。請問在內導體內部的磁場強度如何?用徑向距離 r 表示其變化。 (A)0 (B) (C) (D)
20 微波爐中的微波是由電子在磁場中以 2.4 GHz 的頻率進行旋轉運動產生的。假設已知電子的質量為kg ,電荷量為C ,請計算產生此頻率旋轉所需的磁場強度。 (A) 86 mT (B) 86 T (C) 172 T (D) 172 mT
21 在噴墨印表機的設計中,帶有質量 m、速度 v 和電荷 q 的墨滴會進入由兩塊帶電平行板(長度為 L 且相距為 d)構成的均勻電場 E 中(如下圖所示) 。墨滴從兩板的中央進入,並在電場的作用下偏轉至紙張上的指定位置。請計算使墨滴能夠成功穿過帶電板而不接觸到任何一塊板的最大電場 E 是多少? (A) (B) (C) (D)
22 基本 LC 震盪電路如下圖所示,其中 L 為電感,C 為電容,電流在此電路中反覆震盪,請問下列敘述何者正確? (A)當電流為 0 時,所有能量集中於電容之內 (B)當電流為最大值時,所有能量集中於電容之內 (C)當電流為 0 時,所有能量集中於電感之內 (D)任何時刻電容與電感之內的能量都相同
24 如下圖所示,一道線偏振光束沿 z 方向傳播,其初始電場偏振方向與 y 軸平行,通過兩個偏振片,偏 振片 1 的偏振通過方向與 y 軸夾角 30 度,偏振片 2 的偏振通過方向與 x 軸平行。請問通過偏振片 2 後,最終光強度與起始入射光強度的關係為何? (A) (B) (C) (D)
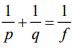
25 透鏡成像公式如右:,其中 p 為物距,q 為像距,f 為透鏡焦距。請問下列敘述何者正確? p q f (A)使用凸透鏡成像,當物體放在 1 倍焦距至 2 倍焦距之間時,所成之像為放大倒立虛像 (B)使用凸透鏡成像,當物體放在 1 倍焦距內時,所成之像為放大正立虛像 (C)使用凸透鏡成像,當物體放在 2 倍焦距之外時,所成之像為縮小正立實像 (D)使用凹透鏡成像,當物體放在 1 倍焦距之內時,所成之像為縮小正立實像
29 於含有[Cl⁻]=0.050 M 和[I⁻]=0.017 M 的水溶液中,加入含亞銅離子()的水溶液,以選擇性沉澱其中一種離子。當亞銅離子()的濃度達到多少時,開始形成沉澱?先沉澱的為何種物質?(CuCl 的 Ksp=;CuI 的 Ksp=) (A)M,CuI(s) (B)M,CuCl(s) (C) M,CuI(s) (D)M,CuCl(s)
33 根據路易斯結構和形式電荷(Formal charge),下列那一個離子最穩定? (A) (B) (C) (D)根據路易斯理論,這些化合物的穩定性都相等
37 一個含有 35.6 g 乙醇(C2H5OH)的樣品在燃燒熱量計中燃燒,根據下面的反應,若溫度從 30.0°C 升 至 71.0℃,且熱量計的熱容量為 23.3 kJ/℃,請問反應的(標準反應焓變)是多少?乙醇的莫 耳質量是 46.07 g/mol。 C2H5OH(l)+3 O2(g)→2 CO2(g)+3 H2O(g) =? (A)+1.24×103 kJ/mol (B)⁻1.24×103 kJ/mol (C)+9.55×103 kJ/mol (D)⁻9.55×103 kJ/mol
41 根據速率方程 Rate=k[A]2 ,其中 k=0.456,若 A 的初始濃度[A]0 =0.500 M,則 A 的濃度達到0.250 M 需要多少秒? (A)秒 (B)秒 (C) 1.52 秒 (D) 4.39 秒
42 根據反應:2O3(g)→3O2(g),提出下列反應機制: O3 ⇌O2+O (I) O3 +O→2O2 (II) 若步驟 II 為速率定步驟,而步驟 I 是快速平衡步驟,則根據此機制預測的速率方程式為何? (A)反應速率= (B)反應速率=k[O3]2[O2] (C)反應速率=k[O3] (D)反應速率=k[O3]2
46 根據下列在酸性溶液中的標準還原電位,何者為最強的氧化劑?(A) (B) (C) (D)Al
47 下列何者為順磁性(Paramagnetic)的物質? (A)O (B) (C) Xe (D)
48 請將下列元素依第一游離能( Ionization Energy, IE1)高低由高到低排序:Na、Mg、Al、Si、C (A) Na>Mg>Al>Si>C (B) C>Si>Al>Mg>Na (C) Si>C>Al>Mg>Na (D) C>Si>Mg>Al>Na
49 下列那一組量子組態錯誤? (A) n=1,l=1,=0,=1/2 (B) n=2,l=1,= ⁻1,=1/2 (C) n=3,l=0,=0,= ⁻1/2 (D) n=4,l=3,= ⁻2,= ⁻1/2
50 A 是週期表中第二族的元素,當 A 與其它元素形成化合物時,大多會形成下列何者離子? (A) (B) (C) (D)